Agrawal Poonam, Reddy Varikasuvu Seshadri, Madaan Himanshu, Patra Surajeet Kumar, Garg Renu
Department of Biochemistry, BPS Government Medical College for Women, Khanpur Kalan, Sonepat, Haryana, India.
Department of Biochemistry, Lady Hardinge Medical College, Delhi, India.
J Health Popul Nutr. 2014 Sep;32(3):494-502.
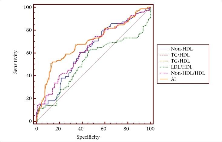
Diabetes and urbanization are major contributors to increased risk factors of cardiovascular diseases. Studying whether atherogenic dyslipidaemia increases with urbanization in type 2 diabetes mellitus is, therefore, important. The sample of the present study consisted of 400 subjects. They were categorized according to residential area and diabetes into four groups: urban diabetic group, urban non-diabetic control group (from a metropolitan city Delhi), rural non-diabetic diabetic group, and rural control group (from villages of Khanpur Kalan, Sonepat, Haryana). Differences in lipid levels and risk factors of emerging cardiovascular diseases between groups were evaluated with analysis of variance. Diabetic patients of both urban and rural areas had significantly higher total cholesterol (TC), triglycerides (TG), very low-density lipoproteins (VLDL), TC to high-density lipoprotein cholesterol (TC/HDL) ratio, TG to high-density lipoprotein cholesterol (TG/HDL) ratio, and atherogenic index (AI) compared to respective controls (p<0.05). The HDL concentrations in urban diabetics were significantly lower (p<0.05) than in urban non-diabetic group and rural diabetic group. Comparison between urban and rural diabetic groups showed significantly higher atherogenic dyslipidaemia (AD) in the urban patient-group (p<0.05). We evaluated significant relationships of diabetes and urbanization with AD by multiple regression analysis. Receiver operating curve (ROC) analysis showed high area under curve (AUC) for TG/HDL in urban diabetic group (0.776, p<0.0001) and in rural diabetic group (0.692, p<0.0001). It is concluded that diabetes was associated with higher AD parameters. Urbanization in diabetes is also associated with elevated levels of AD, indicating higher risk in urban population. This study suggests that TG/HDL may be particularly useful as atherogenic risk predictor in newly-diagnosed type 2 diabetic patients.
糖尿病和城市化是心血管疾病风险因素增加的主要促成因素。因此,研究在2型糖尿病中致动脉粥样硬化血脂异常是否随城市化而增加具有重要意义。本研究样本包括400名受试者。他们根据居住地区和糖尿病情况分为四组:城市糖尿病组、城市非糖尿病对照组(来自大都市德里)、农村糖尿病组和农村对照组(来自哈里亚纳邦索纳帕特的坎普尔卡兰村)。通过方差分析评估各组之间血脂水平和新发心血管疾病风险因素的差异。与各自对照组相比,城市和农村地区的糖尿病患者总胆固醇(TC)、甘油三酯(TG)、极低密度脂蛋白(VLDL)、TC与高密度脂蛋白胆固醇(TC/HDL)比值、TG与高密度脂蛋白胆固醇(TG/HDL)比值以及致动脉粥样硬化指数(AI)均显著更高(p<0.05)。城市糖尿病患者的高密度脂蛋白(HDL)浓度显著低于城市非糖尿病组和农村糖尿病组(p<0.05)。城市和农村糖尿病组之间的比较显示,城市患者组的致动脉粥样硬化血脂异常(AD)显著更高(p<0.05)。我们通过多元回归分析评估了糖尿病和城市化与AD的显著关系。受试者工作特征曲线(ROC)分析显示,城市糖尿病组(0.776,p<0.0001)和农村糖尿病组(0.692,p<0.0001)中TG/HDL的曲线下面积(AUC)较高。结论是糖尿病与较高的AD参数相关。糖尿病中的城市化也与AD水平升高相关,表明城市人群风险更高。本研究表明,TG/HDL可能特别有助于作为新诊断的2型糖尿病患者的动脉粥样硬化风险预测指标。