Suppr超能文献

白血病T细胞系对三氧化二砷细胞毒性的敏感性取决于细胞表面磷酸酶B220/CD45R表达的诱导。

Sensitivity of leukemic T-cell lines to arsenic trioxide cytotoxicity is dependent on the induction of phosphatase B220/CD45R expression at the cell surface.

作者信息

Benbijja Mohcine, Mellouk Amine, Bobé Pierre

机构信息

Institut Jacques Monod, CNRS, Université Paris Diderot, Paris, France.

出版信息

Mol Cancer. 2014 Nov 19;13:251. doi: 10.1186/1476-4598-13-251.

Abstract

BACKGROUND

Arsenic trioxide (As2O3) is highly effective in treating acute promyelocytic leukemia (APL), but shows more variable therapeutic efficacy for other types of hematological malignancies. Previously, we reported that As2O3 selectively eliminates pathogenic B220-expressing T cells in autoimmune MRL/lpr mice. We investigated herein the relationship between As2O3 sensitivity of leukemic T-cell lines and the expression levels of the B220 isoform of transmembrane tyrosine phosphatase CD45.

METHODS

GSH content, O2(-) production, and B220, HSP70, Fas and FasL membrane expression was measured by flow cytometry. Subcellular localization of B220 was determined by imaging flow cytometry. Cell death was analyzed by morphological changes, annexin V and propidium iodide staining, and caspase 8 and 9 activation. B220 mRNA expression was analyzed by RT-PCR. Activated NF-κB p50 was quantified by a DNA binding ELISA.

RESULTS

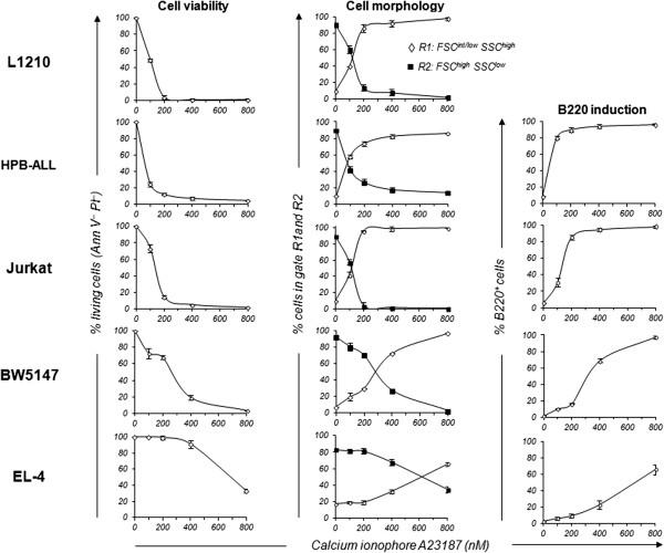
We selected human (Jurkat, Jurkat variant J45.01, HPB-ALL) and mouse (EL-4, BW5147, L1210) T-cell lines for their marked differences in As2O3 sensitivity over a large range of doses (1 to 20 μM). Differences in redox status cannot explain the dramatic differences in As2O3 sensitivity observed among the T-cell lines. Unexpectedly, we found that B220 is differentially induced on As2O3-treated T-cell lines. As2O3 treatment for 24 h induced low (HPB-ALL), intermediate (Jurkat) and high (EL-4, BW5147) levels of B220 membrane expression, membrane-bound HSP70 and cell death, but inhibited NF-κB p50 nuclear translocation. When high levels of B220 expression were achieved with low doses of As2O3, the T-cell lines died by apoptosis only. When high doses of As2O3 were required to induce B220 expression, leukemic T cells died by both apoptosis and necrosis.

CONCLUSIONS

Cellular redox status is not essential for As2O3 sensitivity of leukemic T cells, suggesting the existence of additional factors determining their sensitivity to As2O3 cytotoxicity. Phosphatase B220 could be such a factor of sensitivity. As2O3 treatment inhibits NF-κB p50 nuclear translocation, and induces B220 expression and cell death in a dose and time dependent manner. The levels of B220 induction on leukemic T cells strictly correlate with both the extent and form of cell death, B220 might therefore play a checkpoint role in death pathways.

摘要

背景

三氧化二砷(As2O3)在治疗急性早幼粒细胞白血病(APL)方面非常有效,但对其他类型的血液系统恶性肿瘤的治疗效果则更具变异性。此前,我们报道As2O3可选择性清除自身免疫性MRL/lpr小鼠中表达致病的B220的T细胞。我们在此研究白血病T细胞系对As2O3的敏感性与跨膜酪氨酸磷酸酶CD45的B220同工型表达水平之间的关系。

方法

通过流式细胞术测量谷胱甘肽(GSH)含量、超氧阴离子(O2(-))产生以及B220、热休克蛋白70(HSP70)、Fas和FasL的膜表达。通过成像流式细胞术确定B220的亚细胞定位。通过形态学变化、膜联蛋白V和碘化丙啶染色以及半胱天冬酶8和9的激活分析细胞死亡情况。通过逆转录聚合酶链反应(RT-PCR)分析B220 mRNA表达。通过DNA结合酶联免疫吸附测定(ELISA)对活化的核因子κB p50进行定量。

结果

我们选择了人(Jurkat、Jurkat变体J45.01、HPB-ALL)和小鼠(EL-4、BW5147、L1210)T细胞系,因为它们在大范围剂量(1至20μM)的As2O3敏感性上存在显著差异。氧化还原状态的差异无法解释在T细胞系中观察到的As2O3敏感性的巨大差异。出乎意料的是,我们发现As2O3处理的T细胞系上B220的诱导存在差异。As2O3处理24小时诱导了低(HPB-ALL)、中(Jurkat)和高(EL-4、BW5147)水平的B220膜表达、膜结合的HSP70和细胞死亡,但抑制了核因子κB p50的核转位。当用低剂量的As2O3实现高水平的B220表达时,T细胞系仅通过凋亡死亡。当需要高剂量的As2O3来诱导B220表达时,白血病T细胞通过凋亡和坏死两种方式死亡。

结论

细胞氧化还原状态对于白血病T细胞对As2O3的敏感性并非必需,这表明存在其他决定其对As2O3细胞毒性敏感性的因素。磷酸酶B220可能是这样一个敏感性因素。As2O3处理抑制核因子κB p50的核转位,并以剂量和时间依赖性方式诱导B220表达和细胞死亡。白血病T细胞上B220的诱导水平与细胞死亡的程度和形式严格相关,因此B220可能在死亡途径中起检查点作用。

https://cdn.ncbi.nlm.nih.gov/pmc/blobs/5b60/4252024/8af709a5efaf/12943_2014_1451_Fig1_HTML.jpg

文献检索

告别复杂PubMed语法,用中文像聊天一样搜索,搜遍4000万医学文献。AI智能推荐,让科研检索更轻松。

立即免费搜索

文件翻译

保留排版,准确专业,支持PDF/Word/PPT等文件格式,支持 12+语言互译。

免费翻译文档

深度研究

AI帮你快速写综述,25分钟生成高质量综述,智能提取关键信息,辅助科研写作。

立即免费体验