Suppr超能文献

通过溶煤细菌生产腐殖质物质。

Production of humic substances through coal-solubilizing bacteria.

作者信息

Valero Nelson, Gómez Liliana, Pantoja Manuel, Ramírez Ramiro

机构信息

Laboratory of Environmental and Agricultural Microbiology Universidad Popular del Cesar Campus Sabanas, Valledupar Colombia Laboratory of Environmental and Agricultural Microbiology, Universidad Popular del Cesar, Campus Sabanas, Valledupar, Colombia. ; Faculty of Basic Science Universidad de La Guajira Riohacha Colombia Faculty of Basic Science, Universidad de La Guajira, Riohacha, Colombia.

Laboratory of Environmental and Agricultural Microbiology Universidad Popular del Cesar Campus Sabanas, Valledupar Colombia Laboratory of Environmental and Agricultural Microbiology, Universidad Popular del Cesar, Campus Sabanas, Valledupar, Colombia.

出版信息

Braz J Microbiol. 2014 Oct 9;45(3):911-8. doi: 10.1590/s1517-83822014000300021. eCollection 2014.

Abstract

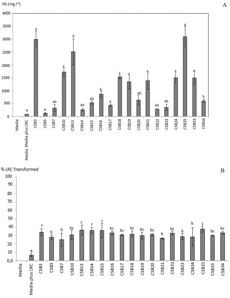
In this paper, the production of humic substances (HS) through the bacterial solubilization of low rank coal (LRC) was evaluated. The evaluation was carried out by 19 bacterial strains isolated in microenvironments with high contents of coal wastes. The biotransformed LRC and the HS produced were quantified in vitro in a liquid growth medium. The humic acids (HA) obtained from the most active bacterial strain were characterized via elemental composition (C, H, N, O), IR analyses, and the E4/E6 ratio; they were then compared with the HA extracted chemically using NaOH. There was LRC biotransformation ranged from 25 to 37%, and HS production ranged from 127 to 3100 mg . L(-1). More activity was detected in the isolated strains of Bacillus mycoides, Microbacterium sp, Acinetobacter sp, and Enterobacter aerogenes. The HA produced by B. mycoides had an IR spectrum and an E4/E6 ratio similar to those of the HA extracted with NAOH, but their elemental composition and their degree of aromatic condensation was different. Results suggest that these bacteria can be used to exploit the LRC resulting from coal mining activities and thus produce HS in order to improve the content of humified organic matter in soils.

摘要

本文评估了通过低阶煤(LRC)的细菌溶解作用来生产腐殖质(HS)的情况。评估是通过在煤矸石含量高的微环境中分离出的19株细菌菌株进行的。在液体生长培养基中对生物转化的LRC和产生的HS进行了体外定量。通过元素组成(C、H、N、O)、红外分析和E4/E6比值对从最具活性的细菌菌株中获得的腐殖酸(HA)进行了表征;然后将其与使用NaOH化学提取的HA进行比较。LRC的生物转化率在25%至37%之间,HS的产量在127至3100 mg·L(-1)之间。在蕈状芽孢杆菌、微杆菌属、不动杆菌属和产气肠杆菌的分离菌株中检测到了更高的活性。蕈状芽孢杆菌产生的HA的红外光谱和E4/E6比值与用NaOH提取的HA相似,但其元素组成和芳香缩合程度不同。结果表明,这些细菌可用于开发煤炭开采活动产生的LRC,从而生产HS,以提高土壤中腐殖化有机物的含量。

https://cdn.ncbi.nlm.nih.gov/pmc/blobs/5413/4204976/8690745586c3/bjm-45-911-g001.jpg

文献AI研究员

20分钟写一篇综述,助力文献阅读效率提升50倍。

立即体验

用中文搜PubMed

大模型驱动的PubMed中文搜索引擎

马上搜索

文档翻译

学术文献翻译模型,支持多种主流文档格式。

立即体验