Suppr超能文献

二水合双[(5-氨基-1H-1,2,4-三唑-3-基-κN(4))乙酸根-κO]二水合镍(II)的晶体结构

Crystal structure of bis-[(5-amino-1H-1,2,4-triazol-3-yl-κN (4))acetato-κO]di-aqua-nickel(II) dihydrate.

作者信息

Chernyshev Victor M, Chernysheva Anna V, Abagyan Raisa S, Rybakov Victor B

机构信息

South-Russia State Technical University Prosveschenya, 132, Novocherkassk, Rostov Region, 346428, Russian Federation.

Department of Chemistry, Moscow State University, 119992 Moscow, Russian Federation.

出版信息

Acta Crystallogr Sect E Struct Rep Online. 2014 Oct 4;70(Pt 11):286-9. doi: 10.1107/S1600536814021436. eCollection 2014 Nov 1.

Abstract

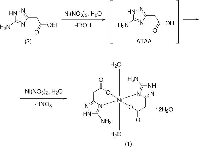
The title compound, [Ni(C4H5N4O2)2(H2O)2]·2H2O, represents the first transition metal complex of the novel chelating triazole ligand, 2-(5-amino-1H-1,2,4-triazol-3-yl)acetic acid (ATAA), to be structurally characterized. In the mol-ecule of the title complex, the nickel(II) cation is located on an inversion centre and is coordinated by two water mol-ecules in axial positions and two O and two N atoms from two trans-oriented chelating anions of the deprotonated ATAA ligand, forming a slightly distorted octa-hedron. The trans angles of the octa-hedron are all 180° due to the inversion symmetry of the mol-ecule. The cis-angles are in the range 87.25 (8)-92.75 (8)°. The six-membered chelate ring adopts a slightly twisted boat conformation with puckering parameters Q = 0.542 (2) Å, Θ = 88.5 (2) and ϕ = 15.4 (3)°. The mol-ecular conformation is stabilized by intra-molecular N-H⋯O hydrogen bonds between the amino group and the chelating carboxyl-ate O atom of two trans-oriented ligands. In the crystal, the complex mol-ecules and lattice water mol-ecules are linked into a three-dimensional framework by an extensive network of N-H⋯O, O-H⋯O and O-H⋯N hydrogen bonds.

摘要

标题化合物[Ni(C₄H₅N₄O₂)₂(H₂O)₂]·2H₂O是首例经结构表征的新型螯合三唑配体2-(5-氨基-1H-1,2,4-三唑-3-基)乙酸(ATAA)的过渡金属配合物。在标题配合物分子中,镍(II)阳离子位于对称中心,轴向位置由两个水分子配位,来自两个去质子化ATAA配体的两个反式螯合阴离子的两个O原子和两个N原子与之配位,形成一个轻微畸变的八面体。由于分子的反演对称性,八面体的反角均为180°。顺角在87.25(8) - 92.75(8)°范围内。六元螯合环呈轻微扭曲的船式构象,褶皱参数Q = 0.542(2) Å,Θ = 88.5(2),ϕ = 15.4(3)°。分子构象通过两个反式配体的氨基与螯合羧酸根O原子之间的分子内N - H⋯O氢键得以稳定。在晶体中,配合物分子和晶格水分子通过广泛的N - H⋯O、O - H⋯O和O - H⋯N氢键网络连接成三维框架。

https://cdn.ncbi.nlm.nih.gov/pmc/blobs/9acb/4257300/58f0d8c38abd/e-70-00286-fig1.jpg

文献AI研究员

20分钟写一篇综述,助力文献阅读效率提升50倍。

立即体验

用中文搜PubMed

大模型驱动的PubMed中文搜索引擎

马上搜索

文档翻译

学术文献翻译模型,支持多种主流文档格式。

立即体验