• 文献检索
  • 文档翻译
  • 深度研究
  • 学术资讯
  • Suppr Zotero 插件Zotero 插件
  • 邀请有礼
  • 套餐&价格
  • 历史记录
应用&插件
Suppr Zotero 插件Zotero 插件浏览器插件Mac 客户端Windows 客户端微信小程序
定价
高级版会员购买积分包购买API积分包
服务
文献检索文档翻译深度研究API 文档MCP 服务
关于我们
关于 Suppr公司介绍联系我们用户协议隐私条款
关注我们

Suppr 超能文献

核心技术专利:CN118964589B侵权必究
粤ICP备2023148730 号-1Suppr @ 2026

文献检索

告别复杂PubMed语法,用中文像聊天一样搜索,搜遍4000万医学文献。AI智能推荐,让科研检索更轻松。

立即免费搜索

文件翻译

保留排版,准确专业,支持PDF/Word/PPT等文件格式,支持 12+语言互译。

免费翻译文档

深度研究

AI帮你快速写综述,25分钟生成高质量综述,智能提取关键信息,辅助科研写作。

立即免费体验

H1/IC31®(一种含佐剂的结核亚单位疫苗)在CD4 +淋巴细胞计数大于350个细胞/mm3的HIV感染成人中的安全性和免疫原性:一项II期、多中心、双盲、随机、安慰剂对照试验。

Safety and immunogenicity of H1/IC31®, an adjuvanted TB subunit vaccine, in HIV-infected adults with CD4+ lymphocyte counts greater than 350 cells/mm3: a phase II, multi-centre, double-blind, randomized, placebo-controlled trial.

作者信息

Reither Klaus, Katsoulis Lynn, Beattie Trevor, Gardiner Nicolene, Lenz Nicole, Said Khadija, Mfinanga Elirehema, Pohl Christian, Fielding Katherine L, Jeffery Hannah, Kagina Benjamin M, Hughes Elisabeth J, Scriba Thomas J, Hanekom Willem A, Hoff Søren T, Bang Peter, Kromann Ingrid, Daubenberger Claudia, Andersen Peter, Churchyard Gavin J

机构信息

Swiss Tropical and Public Health Institute, Basel, Switzerland; University Basel, Basel, Switzerland; Ifakara Health Institute, Bagamoyo, Tanzania.

Aurum Institute, Johannesburg, South Africa.

出版信息

PLoS One. 2014 Dec 9;9(12):e114602. doi: 10.1371/journal.pone.0114602. eCollection 2014.

DOI:10.1371/journal.pone.0114602
PMID:25490675
原文链接:https://pmc.ncbi.nlm.nih.gov/articles/PMC4260867/
Abstract

BACKGROUND

Novel tuberculosis vaccines should be safe, immunogenic, and effective in various population groups, including HIV-infected individuals. In this phase II multi-centre, double-blind, placebo-controlled trial, the safety and immunogenicity of the novel H1/IC31 vaccine, a fusion protein of Ag85B-ESAT-6 (H1) formulated with the adjuvant IC31, was evaluated in HIV-infected adults.

METHODS

HIV-infected adults with CD4+ T cell counts >350/mm3 and without evidence of active tuberculosis were enrolled and followed until day 182. H1/IC31 vaccine or placebo was randomly allocated in a 5:1 ratio. The vaccine was administered intramuscularly at day 0 and 56. Safety assessment was based on medical history, clinical examinations, and blood and urine testing. Immunogenicity was determined by a short-term whole blood intracellular cytokine staining assay.

RESULTS

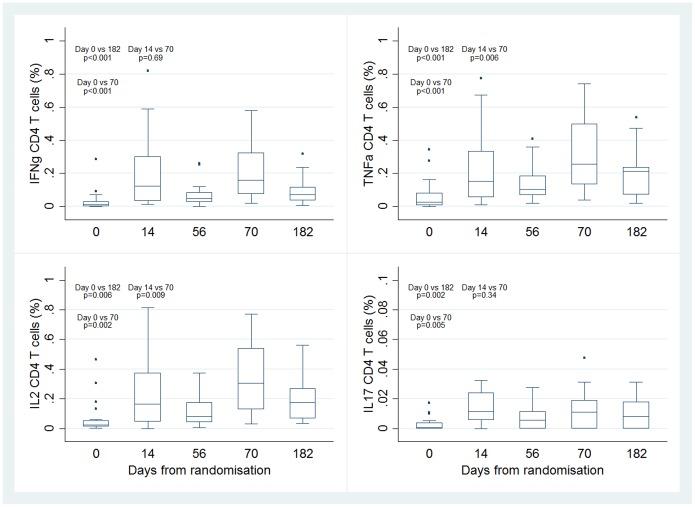
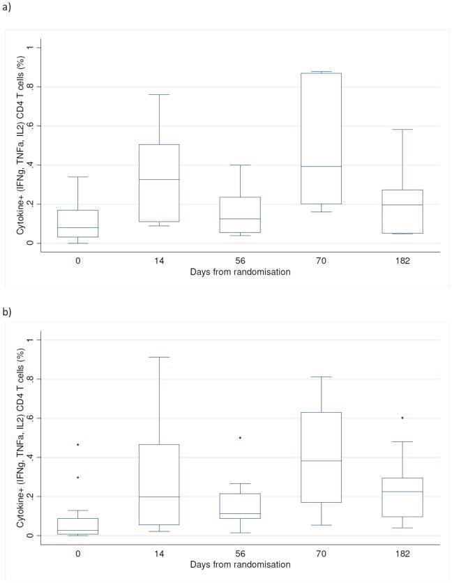
47 of the 48 randomised participants completed both vaccinations. In total, 459 mild or moderate and 2 severe adverse events were reported. There were three serious adverse events in two vaccinees classified as not related to the investigational product. Local injection site reactions were more common in H1/IC31 versus placebo recipients (65.0% vs. 12.5%, p = 0.015). Solicited systemic and unsolicited adverse events were similar by study arm. The baseline CD4+ T cell count and HIV viral load were similar by study arm and remained constant over time. The H1/IC31 vaccine induced a persistent Th1-immune response with predominately TNF-α and IL-2 co-expressing CD4+ T cells, as well as polyfunctional IFN-γ, TNF-α and IL-2 expressing CD4+ T cells.

CONCLUSION

H1/IC31 was well tolerated and safe in HIV-infected adults with a CD4+ Lymphocyte count greater than 350 cells/mm3. The vaccine did not have an effect on CD4+ T cell count or HIV-1 viral load. H1/IC31 induced a specific and durable Th1 immune response.

TRIAL REGISTRATION

Pan African Clinical Trials Registry (PACTR) PACTR201105000289276.

摘要

背景

新型结核病疫苗应在包括艾滋病毒感染者在内的各类人群中安全、具有免疫原性且有效。在这项II期多中心、双盲、安慰剂对照试验中,对新型H1/IC31疫苗(一种由Ag85B - ESAT - 6(H1)与佐剂IC31配制而成的融合蛋白)在艾滋病毒感染成人中的安全性和免疫原性进行了评估。

方法

纳入CD4 + T细胞计数>350/mm³且无活动性结核病证据的艾滋病毒感染成人,并随访至第182天。H1/IC31疫苗或安慰剂按5:1的比例随机分配。疫苗分别在第0天和第56天进行肌肉注射。安全性评估基于病史、临床检查以及血液和尿液检测。免疫原性通过短期全血细胞内细胞因子染色试验确定。

结果

48名随机分组的参与者中有47人完成了两次疫苗接种。总共报告了459例轻度或中度不良事件以及2例严重不良事件。两名疫苗接种者发生了3起严重不良事件,判定与研究产品无关。H1/IC31疫苗接种者的局部注射部位反应比安慰剂接种者更常见(65.0%对12.5%,p = 0.015)。各研究组中预期的全身性不良事件和非预期不良事件相似。各研究组的基线CD4 + T细胞计数和艾滋病毒病毒载量相似,且随时间保持稳定。H1/IC31疫苗诱导了持续的Th1免疫反应,主要是共表达TNF-α和IL-2的CD4 + T细胞,以及同时表达多功能IFN-γ、TNF-α和IL-2的CD4 + T细胞。

结论

H1/IC31在CD4 + 淋巴细胞计数大于350个细胞/mm³的艾滋病毒感染成人中耐受性良好且安全。该疫苗对CD4 + T细胞计数或艾滋病毒-1病毒载量没有影响。H1/IC31诱导了特异性且持久的Th1免疫反应。

试验注册

泛非临床试验注册中心(PACTR)PACTR201105000289276

https://cdn.ncbi.nlm.nih.gov/pmc/blobs/e48e/4260867/8667102ba111/pone.0114602.g006.jpg
https://cdn.ncbi.nlm.nih.gov/pmc/blobs/e48e/4260867/a1d190026e8a/pone.0114602.g001.jpg
https://cdn.ncbi.nlm.nih.gov/pmc/blobs/e48e/4260867/91eb60434f72/pone.0114602.g002.jpg
https://cdn.ncbi.nlm.nih.gov/pmc/blobs/e48e/4260867/160af9721d72/pone.0114602.g003.jpg
https://cdn.ncbi.nlm.nih.gov/pmc/blobs/e48e/4260867/9efd1ae56fb2/pone.0114602.g004.jpg
https://cdn.ncbi.nlm.nih.gov/pmc/blobs/e48e/4260867/444f6a0b750c/pone.0114602.g005.jpg
https://cdn.ncbi.nlm.nih.gov/pmc/blobs/e48e/4260867/8667102ba111/pone.0114602.g006.jpg
https://cdn.ncbi.nlm.nih.gov/pmc/blobs/e48e/4260867/a1d190026e8a/pone.0114602.g001.jpg
https://cdn.ncbi.nlm.nih.gov/pmc/blobs/e48e/4260867/91eb60434f72/pone.0114602.g002.jpg
https://cdn.ncbi.nlm.nih.gov/pmc/blobs/e48e/4260867/160af9721d72/pone.0114602.g003.jpg
https://cdn.ncbi.nlm.nih.gov/pmc/blobs/e48e/4260867/9efd1ae56fb2/pone.0114602.g004.jpg
https://cdn.ncbi.nlm.nih.gov/pmc/blobs/e48e/4260867/444f6a0b750c/pone.0114602.g005.jpg
https://cdn.ncbi.nlm.nih.gov/pmc/blobs/e48e/4260867/8667102ba111/pone.0114602.g006.jpg

相似文献

1
Safety and immunogenicity of H1/IC31®, an adjuvanted TB subunit vaccine, in HIV-infected adults with CD4+ lymphocyte counts greater than 350 cells/mm3: a phase II, multi-centre, double-blind, randomized, placebo-controlled trial.H1/IC31®(一种含佐剂的结核亚单位疫苗)在CD4 +淋巴细胞计数大于350个细胞/mm3的HIV感染成人中的安全性和免疫原性:一项II期、多中心、双盲、随机、安慰剂对照试验。
PLoS One. 2014 Dec 9;9(12):e114602. doi: 10.1371/journal.pone.0114602. eCollection 2014.
2
H1:IC31 vaccination is safe and induces long-lived TNF-αIL-2CD4 T cell responses in M. tuberculosis infected and uninfected adolescents: A randomized trial.假设1:IC31疫苗接种安全,可在感染和未感染结核分枝杆菌的青少年中诱导产生长效肿瘤坏死因子-α、白细胞介素-2、CD4 T细胞应答:一项随机试验。
Vaccine. 2017 Jan 3;35(1):132-141. doi: 10.1016/j.vaccine.2016.11.023. Epub 2016 Nov 18.
3
First-in-human trial of the post-exposure tuberculosis vaccine H56:IC31 in Mycobacterium tuberculosis infected and non-infected healthy adults.暴露后结核病疫苗H56:IC31在结核分枝杆菌感染和未感染的健康成年人中的首次人体试验。
Vaccine. 2015 Aug 7;33(33):4130-40. doi: 10.1016/j.vaccine.2015.06.051. Epub 2015 Jun 19.
4
The tuberculosis vaccine H4:IC31 is safe and induces a persistent polyfunctional CD4 T cell response in South African adults: A randomized controlled trial.结核病疫苗H4:IC31在南非成年人中安全且能诱导持续的多功能CD4 T细胞应答:一项随机对照试验。
Vaccine. 2015 Jul 9;33(30):3592-9. doi: 10.1016/j.vaccine.2015.05.036. Epub 2015 Jun 3.
5
Safety and immunogenicity of the novel H4:IC31 tuberculosis vaccine candidate in BCG-vaccinated adults: Two phase I dose escalation trials.新型H4:IC31结核候选疫苗在卡介苗接种成人中的安全性和免疫原性:两项I期剂量递增试验
Vaccine. 2017 Mar 14;35(12):1652-1661. doi: 10.1016/j.vaccine.2017.01.055. Epub 2017 Feb 17.
6
The safety and immunogenicity of an adenovirus type 35-vectored TB vaccine in HIV-infected, BCG-vaccinated adults with CD4(+) T cell counts >350 cells/mm(3).一种35型腺病毒载体结核病疫苗在CD4(+) T细胞计数>350个细胞/mm(3)的HIV感染且接种过卡介苗的成人中的安全性和免疫原性。
Vaccine. 2015 Apr 8;33(15):1890-6. doi: 10.1016/j.vaccine.2015.02.004. Epub 2015 Feb 17.
7
A phase I, open-label trial on the safety and immunogenicity of the adjuvanted tuberculosis subunit vaccine H1/IC31® in people living in a TB-endemic area.一项关于佐剂结核亚单位疫苗H1/IC31®在结核病流行地区人群中的安全性和免疫原性的I期开放标签试验。
Trials. 2018 Jan 10;19(1):24. doi: 10.1186/s13063-017-2354-0.
8
Dose Optimization of H56:IC31 Vaccine for Tuberculosis-Endemic Populations. A Double-Blind, Placebo-controlled, Dose-Selection Trial.H56:IC31 疫苗在结核病流行地区的剂量优化。一项双盲、安慰剂对照、剂量选择试验。
Am J Respir Crit Care Med. 2019 Jan 15;199(2):220-231. doi: 10.1164/rccm.201802-0366OC.
9
Safety, immunogenicity, and efficacy of the candidate tuberculosis vaccine MVA85A in healthy adults infected with HIV-1: a randomised, placebo-controlled, phase 2 trial.MVA85A 候选结核病疫苗在感染 HIV-1 的健康成年人中的安全性、免疫原性和疗效:一项随机、安慰剂对照、2 期试验。
Lancet Respir Med. 2015 Mar;3(3):190-200. doi: 10.1016/S2213-2600(15)00037-5. Epub 2015 Feb 26.
10
Antiviral Innate Immune Activation in HIV-Infected Adults Negatively Affects H1/IC31-Induced Vaccine-Specific Memory CD4+ T Cells.HIV感染成人中抗病毒固有免疫激活对H1/IC31诱导的疫苗特异性记忆CD4+ T细胞产生负面影响。
Clin Vaccine Immunol. 2015 Jul;22(7):688-96. doi: 10.1128/CVI.00092-15. Epub 2015 Apr 29.

引用本文的文献

1
The potential impact of new tuberculosis vaccines on the burden of tuberculosis in people with HIV in South Africa.新型结核病疫苗对南非艾滋病毒感染者结核病负担的潜在影响。
AIDS. 2025 Feb 1;39(2):175-183. doi: 10.1097/QAD.0000000000004038. Epub 2024 Oct 10.
2
The BCG vaccine, advantages, and disadvantages of introducing new generation vaccines against .卡介苗疫苗、新一代抗……疫苗的优缺点
Clin Exp Vaccine Res. 2024 Jul;13(3):184-201. doi: 10.7774/cevr.2024.13.3.184. Epub 2024 Jul 31.
3
Tuberculosis vaccine developments and efficient delivery systems: A comprehensive appraisal.

本文引用的文献

1
Safety, tolerability, and immunogenicity of the novel antituberculous vaccine RUTI: randomized, placebo-controlled phase II clinical trial in patients with latent tuberculosis infection.新型抗结核疫苗RUTI的安全性、耐受性和免疫原性:潜伏性结核感染患者的随机、安慰剂对照II期临床试验
PLoS One. 2014 Feb 26;9(2):e89612. doi: 10.1371/journal.pone.0089612. eCollection 2014.
2
The who's who of T-cell differentiation: human memory T-cell subsets.T 细胞分化的名人堂:人类记忆 T 细胞亚群。
Eur J Immunol. 2013 Nov;43(11):2797-809. doi: 10.1002/eji.201343751. Epub 2013 Oct 30.
3
Two doses of candidate TB vaccine MVA85A in antiretroviral therapy (ART) naïve subjects gives comparable immunogenicity to one dose in ART+ subjects.
结核病疫苗研发与高效递送系统:全面评估
Heliyon. 2024 Feb 14;10(4):e26193. doi: 10.1016/j.heliyon.2024.e26193. eCollection 2024 Feb 29.
4
Importance of adjuvant selection in tuberculosis vaccine development: Exploring basic mechanisms and clinical implications.辅助剂选择在结核病疫苗研发中的重要性:探索基本机制与临床意义
Vaccine X. 2023 Oct 29;15:100400. doi: 10.1016/j.jvacx.2023.100400. eCollection 2023 Dec.
5
Immunomodulatory nanosystems: An emerging strategy to combat viral infections.免疫调节纳米系统:一种对抗病毒感染的新兴策略。
Biomater Biosyst. 2023 Jan 30;9:100073. doi: 10.1016/j.bbiosy.2023.100073. eCollection 2023 Mar.
6
Developing tuberculosis vaccines for people with HIV: consensus statements from an international expert panel.为 HIV 感染者开发结核病疫苗:国际专家小组的共识声明。
Lancet HIV. 2022 Nov;9(11):e791-e800. doi: 10.1016/S2352-3018(22)00255-7. Epub 2022 Oct 11.
7
An Update on Tuberculosis Vaccines.结核病疫苗的最新研究进展。
Methods Mol Biol. 2022;2410:387-409. doi: 10.1007/978-1-0716-1884-4_20.
8
A review of the BCG vaccine and other approaches toward tuberculosis eradication.卡介苗疫苗及其他消灭结核病方法综述。
Hum Vaccin Immunother. 2021 Aug 3;17(8):2454-2470. doi: 10.1080/21645515.2021.1885280. Epub 2021 Mar 26.
9
Immunological Characterization of Proteins Expressed by Genes Located in -Specific Genomic Regions Encoding the ESAT6-like Proteins.位于编码ESAT6样蛋白的特定基因组区域的基因所表达蛋白质的免疫学特征分析
Vaccines (Basel). 2021 Jan 7;9(1):27. doi: 10.3390/vaccines9010027.
10
Safety and Immunogenicity of the GamTBvac, the Recombinant Subunit Tuberculosis Vaccine Candidate: A Phase II, Multi-Center, Double-Blind, Randomized, Placebo-Controlled Study.重组亚单位结核疫苗候选物GamTBvac的安全性和免疫原性:一项II期、多中心、双盲、随机、安慰剂对照研究。
Vaccines (Basel). 2020 Nov 3;8(4):652. doi: 10.3390/vaccines8040652.
在未接受抗逆转录病毒疗法(ART)的受试者中,使用两种候选结核病疫苗 MVA85A 与在接受 ART 的受试者中使用一种剂量相比,具有相当的免疫原性。
PLoS One. 2013 Jun 28;8(6):e67177. doi: 10.1371/journal.pone.0067177. Print 2013.
4
Control of chronic mycobacterium tuberculosis infection by CD4 KLRG1- IL-2-secreting central memory cells.通过分泌 IL-2 的 CD4 KLRG1-中央记忆细胞控制慢性结核分枝杆菌感染。
J Immunol. 2013 Jun 15;190(12):6311-9. doi: 10.4049/jimmunol.1300248. Epub 2013 May 15.
5
The HyVac4 subunit vaccine efficiently boosts BCG-primed anti-mycobacterial protective immunity.HyVac4 亚单位疫苗能有效增强卡介苗初免的抗分枝杆菌保护免疫。
PLoS One. 2012;7(6):e39909. doi: 10.1371/journal.pone.0039909. Epub 2012 Jun 29.
6
Improved CD4⁺ T cell responses to Mycobacterium tuberculosis in PPD-negative adults by M72/AS01 as compared to the M72/AS02 and Mtb72F/AS02 tuberculosis candidate vaccine formulations: a randomized trial.与 M72/AS02 和 Mtb72F/AS02 结核候选疫苗制剂相比,M72/AS01 增强了 PPD 阴性成年人对结核分枝杆菌的 CD4+T 细胞反应:一项随机试验。
Vaccine. 2013 Apr 19;31(17):2196-206. doi: 10.1016/j.vaccine.2012.05.035. Epub 2012 May 27.
7
Vaccines against tuberculosis: where are we and where do we need to go?结核病疫苗:我们在哪里,我们需要去哪里?
PLoS Pathog. 2012;8(5):e1002607. doi: 10.1371/journal.ppat.1002607. Epub 2012 May 10.
8
A phase IIa trial of the new tuberculosis vaccine, MVA85A, in HIV- and/or Mycobacterium tuberculosis-infected adults.一项新的结核病疫苗 MVA85A 在 HIV 和/或结核分枝杆菌感染成人中的 IIa 期临床试验。
Am J Respir Crit Care Med. 2012 Apr 1;185(7):769-78. doi: 10.1164/rccm.201108-1548OC. Epub 2012 Jan 26.
9
A Phase I study evaluating the safety and immunogenicity of MVA85A, a candidate TB vaccine, in HIV-infected adults.一项评估候选结核病疫苗MVA85A在HIV感染成人中的安全性和免疫原性的I期研究。
BMJ Open. 2011 Nov 14;1(2):e000223. doi: 10.1136/bmjopen-2011-000223. Print 2011.
10
Functional capacity of Mycobacterium tuberculosis-specific T cell responses in humans is associated with mycobacterial load.人类结核分枝杆菌特异性 T 细胞反应的功能能力与分枝杆菌负荷量有关。
J Immunol. 2011 Sep 1;187(5):2222-32. doi: 10.4049/jimmunol.1101122. Epub 2011 Jul 20.