Shivaprakash K Nagaraju, Ramesha B Thimmappa, Uma Shaanker Ramanan, Dayanandan Selvadurai, Ravikanth Gudasalamani
Department of Crop Physiology, University of Agricultural Sciences, Bangalore, Karnataka, India; School of Ecology and Conservation, University of Agricultural Sciences, Bangalore, Karnataka, India; Department of Biology and Centre for Structural and Functional Genomics, Concordia University, Montreal, Quebec, Canada; Québec Centre for Biodiversity Science, Montréal, Québec, Canada.
Department of Crop Physiology, University of Agricultural Sciences, Bangalore, Karnataka, India; School of Ecology and Conservation, University of Agricultural Sciences, Bangalore, Karnataka, India.
PLoS One. 2014 Dec 10;9(12):e112769. doi: 10.1371/journal.pone.0112769. eCollection 2014.
The harvesting of medicinal plants from wild sources is escalating in many parts of the world, compromising the long-term survival of natural populations of medicinally important plants and sustainability of sources of raw material to meet pharmaceutical industry needs. Although protected areas are considered to play a central role in conservation of plant genetic resources, the effectiveness of protected areas for maintaining medicinal plant populations subject to intense harvesting pressure remain largely unknown. We conducted genetic and demographic studies of Nothapodytes nimmoniana Graham, one of the extensively harvested medicinal plant species in the Western Ghats biodiversity hotspot, India to assess the effectiveness of protected areas in long-term maintenance of economically important plant species.
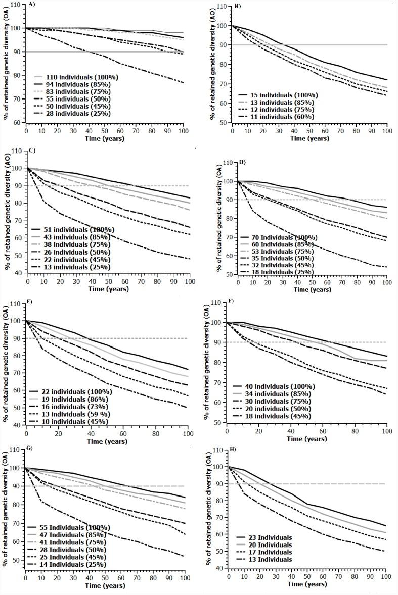
METHODOLOGY/PRINCIPAL FINDINGS: The analysis of adults and seedlings of N. nimmoniana in four protected and four non-protected areas using 7 nuclear microsatellite loci revealed that populations that are distributed within protected areas are subject to lower levels of harvesting and maintain higher genetic diversity (He = 0.816, Ho = 0.607, A = 18.857) than populations in adjoining non-protected areas (He = 0.781, Ho = 0.511, A = 15.571). Furthermore, seedlings in protected areas had significantly higher observed heterozygosity (Ho = 0.630) and private alleles as compared to seedlings in adjoining non-protected areas (Ho = 0.426). Most populations revealed signatures of recent genetic bottleneck. The prediction of long-term maintenance of genetic diversity using BOTTLESIM indicated that current population sizes of the species are not sufficient to maintain 90% of present genetic diversity for next 100 years.
CONCLUSIONS/SIGNIFICANCE: Overall, these results highlight the need for establishing more protected areas encompassing a large number of adult plants in the Western Ghats to conserve genetic diversity of economically and medicinally important plant species.
在世界许多地区,从野生资源中采集药用植物的行为正在升级,这危及了具有重要药用价值的植物自然种群的长期生存以及满足制药行业需求的原材料来源的可持续性。尽管保护区被认为在植物遗传资源保护中发挥着核心作用,但在面临高强度采集压力时,保护区对维持药用植物种群的有效性在很大程度上仍不为人知。我们对印度西高止山脉生物多样性热点地区广泛采集的药用植物物种之一——印度马甲子(Nothapodytes nimmoniana Graham)进行了遗传和种群统计学研究,以评估保护区在长期维持具有经济重要性的植物物种方面的有效性。
方法/主要发现:使用7个核微卫星位点对四个保护区和四个非保护区的印度马甲子成株和幼苗进行分析,结果显示,与毗邻非保护区的种群(He = 0.781,Ho = 0.511,A = 15.571)相比,分布在保护区内的种群受到的采集压力较小,并且保持着更高的遗传多样性(He = 0.816,Ho = 0.607,A = 18.857)。此外,与毗邻非保护区的幼苗(Ho = 0.426)相比,保护区内的幼苗具有显著更高的观察杂合度(Ho = 0.630)和私有等位基因。大多数种群显示出近期遗传瓶颈的迹象。使用BOTTLESIM对遗传多样性的长期维持进行预测表明,该物种目前的种群规模不足以在未来100年内维持90%的现有遗传多样性。
结论/意义:总体而言,这些结果凸显了在西高止山脉建立更多包含大量成年植株的保护区以保护具有经济和药用重要性的植物物种遗传多样性的必要性。