Suppr超能文献

通过模拟患者日常活动,对经过人工老化处理的维生素E涂层滑动部件进行全膝关节置换术(CR TKA)超高分子量聚乙烯(UHMWPE)磨损测试。

CR TKA UHMWPE wear tested after artificial aging of the vitamin E treated gliding component by simulating daily patient activities.

作者信息

Schwiesau Jens, Fritz Bernhard, Kutzner Ines, Bergmann Georg, Grupp Thomas M

机构信息

Aesculap AG, Research & Development, Am Aesculap Platz, 78532 Tuttlingen, Germany.

Julius Wolff Institut, Charité-Universitätsmedizin Berlin, Augustenburger Platz 1, 13353 Berlin, Germany.

出版信息

Biomed Res Int. 2014;2014:567374. doi: 10.1155/2014/567374. Epub 2014 Nov 20.

Abstract

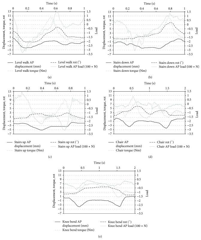
The wear behaviour of total knee arthroplasty (TKA) is dominated by two wear mechanisms: the abrasive wear and the delamination of the gliding components, where the second is strongly linked to aging processes and stress concentration in the material. The addition of vitamin E to the bulk material is a potential way to reduce the aging processes. This study evaluates the wear behaviour and delamination susceptibility of the gliding components of a vitamin E blended, ultra-high molecular weight polyethylene (UHMWPE) cruciate retaining (CR) total knee arthroplasty. Daily activities such as level walking, ascending and descending stairs, bending of the knee, and sitting and rising from a chair were simulated with a data set received from an instrumented knee prosthesis. After 5 million test cycles no structural failure of the gliding components was observed. The wear rate was with 5.62 ± 0.53 mg/million cycles falling within the limit of previous reports for established wear test methods.

摘要

全膝关节置换术(TKA)的磨损行为主要由两种磨损机制主导:磨料磨损和滑动部件的分层,其中第二种机制与材料的老化过程和应力集中密切相关。在块状材料中添加维生素E是减少老化过程的一种潜在方法。本研究评估了一种添加维生素E的超高分子量聚乙烯(UHMWPE)保留十字韧带(CR)全膝关节置换术滑动部件的磨损行为和分层敏感性。利用从仪器化膝关节假体获得的数据集模拟了诸如平地行走、上下楼梯、膝关节弯曲以及从椅子上坐起和站起等日常活动。在500万次测试循环后,未观察到滑动部件的结构失效。磨损率为5.62±0.53毫克/百万次循环,处于以往既定磨损测试方法报告的范围内。

https://cdn.ncbi.nlm.nih.gov/pmc/blobs/18be/4258372/8e7fe6083d56/BMRI2014-567374.001.jpg

文献检索

告别复杂PubMed语法,用中文像聊天一样搜索,搜遍4000万医学文献。AI智能推荐,让科研检索更轻松。

立即免费搜索

文件翻译

保留排版,准确专业,支持PDF/Word/PPT等文件格式,支持 12+语言互译。

免费翻译文档

深度研究

AI帮你快速写综述,25分钟生成高质量综述,智能提取关键信息,辅助科研写作。

立即免费体验