Suppr超能文献

相对新近性会影响情境中的物体记忆。

Relative recency influences object-in-context memory.

作者信息

Tam Shu K E, Bonardi Charlotte, Robinson Jasper

机构信息

School of Psychology, University of Nottingham, University Park, Nottingham NG7 2RD, United Kingdom.

出版信息

Behav Brain Res. 2015 Mar 15;281:250-7. doi: 10.1016/j.bbr.2014.12.024. Epub 2014 Dec 26.

Abstract

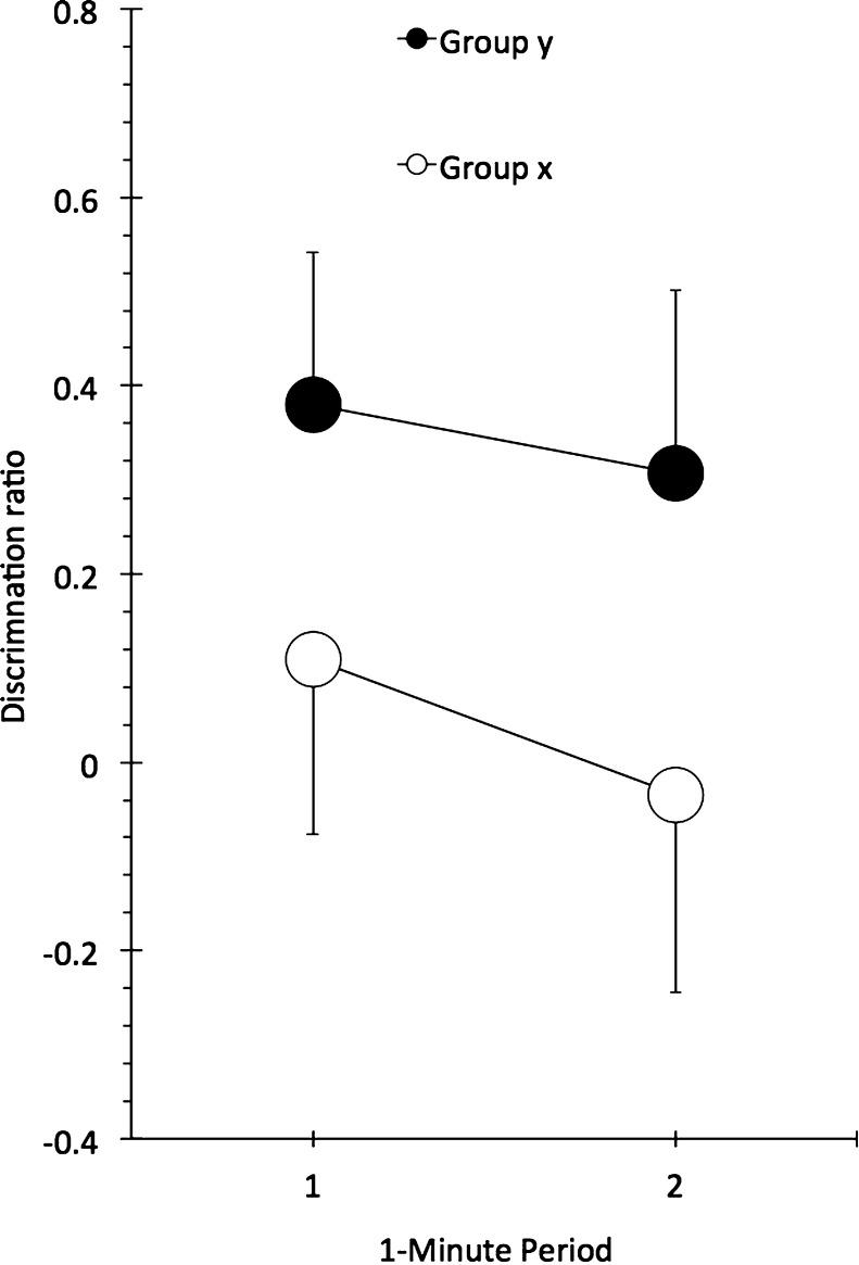
In two experiments rats received training on an object-in-context (OIC) task, in which they received preexposure to object A in context x, followed by exposure to object B in context y. In a subsequent test both A and B are presented in either context x or context y. Usually more exploration is seen of the object that has not previously been paired with the test context, an effect attributed to the ability to remember where an object was encountered. However, in the typical version of this task, object A has also been encountered less recently than object B at test. This is precisely the arrangement in tests of 'relatively recency' (RR), in which more remotely presented objects are explored more than objects experienced more recently. RR could contaminate performance on the OIC task, by enhancing the OIC effect when animals are tested in context y, and masking it when the test is in context x. This possibility was examined in two experiments, and evidence for superior performance in context y was obtained. The implications of this for theoretical interpretations of recognition memory and the procedures used to explore it are discussed.

摘要

在两项实验中,大鼠接受了情境中物体(OIC)任务的训练,在该任务中,它们先在情境x中对物体A进行预暴露,然后在情境y中对物体B进行暴露。在随后的测试中,A和B都呈现在情境x或情境y中。通常会观察到对之前未与测试情境配对的物体有更多的探索,这种效应归因于记住物体出现位置的能力。然而,在该任务的典型版本中,在测试时物体A也比物体B最近出现的次数少。这正是“相对新近度”(RR)测试中的安排,在该测试中,对出现时间较远的物体的探索多于最近经历过的物体。RR可能会干扰OIC任务的表现,当动物在情境y中进行测试时增强OIC效应,而当测试在情境x中进行时则掩盖该效应。在两项实验中对这种可能性进行了研究,并获得了在情境y中表现更优的证据。本文讨论了这对识别记忆理论解释及其探索程序的影响。

https://cdn.ncbi.nlm.nih.gov/pmc/blobs/4379/4318627/af5d8cfb3b31/gr1.jpg

文献AI研究员

20分钟写一篇综述,助力文献阅读效率提升50倍。

立即体验

用中文搜PubMed

大模型驱动的PubMed中文搜索引擎

马上搜索

文档翻译

学术文献翻译模型,支持多种主流文档格式。

立即体验