Suppr超能文献

神经生长因子通过激活磷脂酰肌醇3激酶减轻内质网应激诱导的细胞凋亡,从而保护缺血心脏。

Nerve growth factor protects the ischemic heart via attenuation of the endoplasmic reticulum stress induced apoptosis by activation of phosphatidylinositol 3-kinase.

作者信息

Wei Ke, Liu Li, Xie Fei, Hao Xuechao, Luo Jie, Min Su

机构信息

Department of Anesthesiology, The First Affiliated Hospital of Chongqing Medical University, Chongqing, China.

出版信息

Int J Med Sci. 2015 Jan 1;12(1):83-91. doi: 10.7150/ijms.10101. eCollection 2015.

Abstract

BACKGROUND

Increased expression of nerve growth factor (NGF) has been found in the myocardium suffered from ischemia and reperfusion (I/R). The pro-survival activity of NGF on ischemic heart has been supposed to be mediated by phosphatidylinositol 3-kinase/protein kinase B (PI3K/Akt) signaling pathway. Endoplasmic reticulum (ER) stress, which is activated initially as a defensive response to eliminate the accumulated unfolded proteins, has shown a critical involvement in the ischemia induced myocardial apoptosis. This study was aimed to investigate whether NGF induced heart protection against I/R injury includes a mechanism of attenuation of ER stress-induced myocardial apoptosis by activation of PI3K/Akt pathway.

METHODS

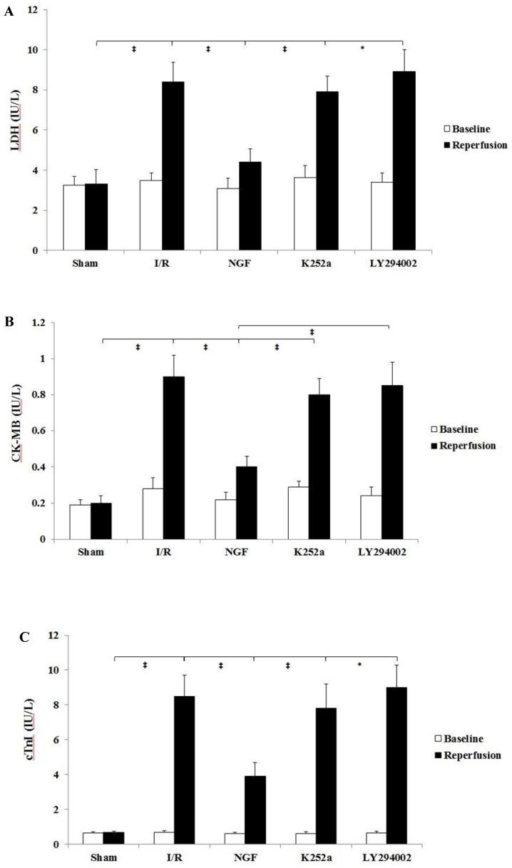
Isolated adult rat hearts were perfused with a Langendörff perfusion system. Hearts in the Sham group were subjected to 225 min of continuous Krebs-Henseleit buffer (KHB) perfusion without ischemia. Hearts in I/R group were perfused with KHB for a 75-min of equilibration period followed by 30 min of global ischemia and 120 min of KHB reperfusion. Hearts in the NGF group accepted 45 min of euilibration perfusion and 30 min of NGF pretreatment (with a final concentration of 100 ng/ml in the KHB) before 30 min of global ischemia and 120 min of reperfusion. Hearts in K252a and LY294002 groups were pretreated with either a TrkA inhibitor, K252a or a phosphatidyl inositol 3-kinase inhibitor, LY294002 for 30 min before NGF (100 ng/ml) administration. Cardiac hemodynamics were measured from the beginning of the perfusion. Cardiac enzymes and cardiac troponin I (cTnI) were assayed before ischemia and at the end of reperfusion. Myocardial apoptosis rate was measured by TUNEL staining, and expression of glucose-related protein 78 (GRP78), CCAAT/enhancer-binding protein homologous protein (CHOP), caspase-12, total- and phospho-(Ser473)-Akt were assessed by Western blot analyses.

RESULTS

NGF pretreatment significantly improved the recovery of post-ischemia cardiac hemodynamics. Reduced creatine kinase-MB (CK-MB), lactate dehydrogenase (LDH) activity and cTnI levels, as well as decreased myocardial apoptosis ratio were observed in the NGF group. The improvement of NGF on recovery of cardiac function and alleviation of myocardial injury were completely abolished by K252a or LY294002. GRP78, caspase-12 and CHOP were highly expressed in ischemic myocardium, while NGF significantly inhibited the overexpression of these proteins which were involved in ER stress-induced myocardial apoptosis. NGF pretreatment also induced phosphorylation of Akt. When the activation of PI3K/Akt pathway is blocked by LY294002, the NGF induced suppression of the apoptosis-related proteins expression was reversed.

CONCLUSIONS

NGF pretreatment may protect the ischemic heart via inhibition of the ER stress-induced apoptosis; this pro-survival effect is mediated by PI3K/Akt pathway.

摘要

背景

在遭受缺血再灌注(I/R)的心肌中发现神经生长因子(NGF)表达增加。NGF对缺血心脏的促存活活性被认为是由磷脂酰肌醇3-激酶/蛋白激酶B(PI3K/Akt)信号通路介导的。内质网(ER)应激最初作为一种防御反应被激活以清除积累的未折叠蛋白,已显示其在缺血诱导的心肌细胞凋亡中起关键作用。本研究旨在探讨NGF诱导的心脏对I/R损伤的保护作用是否包括通过激活PI3K/Akt途径减轻ER应激诱导的心肌细胞凋亡的机制。

方法

用Langendörff灌注系统灌注成年大鼠离体心脏。假手术组心脏接受225分钟的连续Krebs-Henseleit缓冲液(KHB)灌注而无缺血。I/R组心脏先灌注KHB 75分钟以达到平衡期,然后进行30分钟的全心缺血和120分钟的KHB再灌注。NGF组心脏在进行30分钟的全心缺血和120分钟的再灌注之前,先接受45分钟的平衡灌注和30分钟的NGF预处理(在KHB中的终浓度为100 ng/ml)。K252a组和LY294002组心脏在给予NGF(100 ng/ml)前30分钟,先用TrkA抑制剂K252a或磷脂酰肌醇3-激酶抑制剂LY294002预处理30分钟。从灌注开始测量心脏血流动力学。在缺血前和再灌注结束时测定心肌酶和心肌肌钙蛋白I(cTnI)。通过TUNEL染色测量心肌细胞凋亡率,并通过蛋白质免疫印迹分析评估葡萄糖调节蛋白78(GRP78)、CCAAT/增强子结合蛋白同源蛋白(CHOP)、半胱天冬酶-12、总Akt和磷酸化(Ser473)-Akt的表达。

结果

NGF预处理显著改善缺血后心脏血流动力学的恢复。在NGF组中观察到肌酸激酶-MB(CK-MB)、乳酸脱氢酶(LDH)活性和cTnI水平降低,以及心肌细胞凋亡率下降。K252a或LY294002完全消除了NGF对心脏功能恢复和心肌损伤减轻的改善作用。GRP78、半胱天冬酶-12和CHOP在缺血心肌中高表达,而NGF显著抑制这些参与ER应激诱导的心肌细胞凋亡的蛋白的过表达。NGF预处理还诱导Akt磷酸化。当PI3K/Akt途径的激活被LY294002阻断时,NGF诱导的凋亡相关蛋白表达的抑制作用被逆转。

结论

NGF预处理可能通过抑制ER应激诱导的凋亡来保护缺血心脏;这种促存活作用由PI3K/Akt途径介导。

https://cdn.ncbi.nlm.nih.gov/pmc/blobs/3d88/4278880/eb67e150f1f3/ijmsv12p0083g001.jpg

文献AI研究员

20分钟写一篇综述,助力文献阅读效率提升50倍。

立即体验

用中文搜PubMed

大模型驱动的PubMed中文搜索引擎

马上搜索

文档翻译

学术文献翻译模型,支持多种主流文档格式。

立即体验