Carbone Anna, Parrino Barbara, Di Vita Gloria, Attanzio Alessandro, Spanò Virginia, Montalbano Alessandra, Barraja Paola, Tesoriere Luisa, Livrea Maria Antonia, Diana Patrizia, Cirrincione Girolamo
Biological, Chemical and Pharmaceutical Sciences and Technologies Department, STEBICEF, Università degli Studi di Palermo, via Archirafi 32, 90123 Palermo, Italy.
Mar Drugs. 2015 Jan 16;13(1):460-92. doi: 10.3390/md13010460.
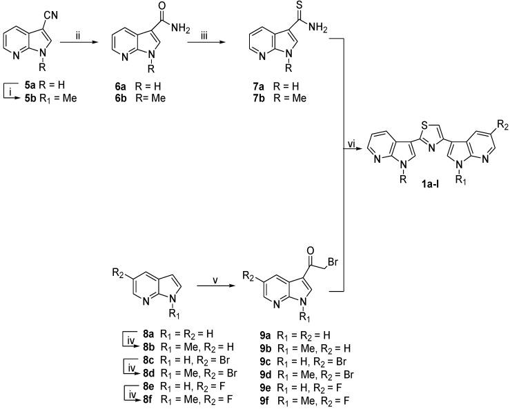
Two new series of nortopsentin analogues, in which the imidazole ring of the natural product was replaced by thiazole and indole units were both substituted by 7-azaindole moieties or one indole unit was replaced by a 6-azaindole portion, were efficiently synthesized. Compounds belonging to both series inhibited the growth of HCT-116 colorectal cancer cells at low micromolar concentrations, whereas they did not affect the viability of normal-like intestinal cells. A compound of the former series induced apoptosis, evident as externalization of plasma membrane phosphatidylserine (PS), and changes of mitochondrial trans-membrane potential, while blocking the cell cycle in G2/M phase. In contrast, a derivative of the latter series elicited distinct responses in accordance with the dose. Thus, low concentrations (GI30) induced morphological changes characteristic of autophagic death with massive formation of cytoplasmic acid vacuoles without apparent loss of nuclear material, and with arrest of cell cycle at the G1 phase, whereas higher concentrations (GI70) induced apoptosis with arrest of cell cycle at the G1 phase.
成功合成了两个新系列的去甲托品亭类似物,其中天然产物的咪唑环被噻唑取代,吲哚单元均被7-氮杂吲哚部分取代,或者一个吲哚单元被6-氮杂吲哚部分取代。这两个系列的化合物在低微摩尔浓度下均能抑制HCT-116结肠癌细胞的生长,而对正常样肠细胞的活力没有影响。前一个系列的一种化合物诱导细胞凋亡,表现为质膜磷脂酰丝氨酸(PS)外化以及线粒体跨膜电位变化,同时使细胞周期阻滞在G2/M期。相比之下,后一个系列的一种衍生物根据剂量引发不同反应。因此,低浓度(GI30)诱导自噬性死亡的形态学变化,大量形成细胞质酸性空泡,核物质无明显损失,细胞周期阻滞在G1期,而高浓度(GI70)诱导细胞凋亡,细胞周期阻滞在G1期。