Suppr超能文献

量化中国西南地区两个典型亚热带森林群落中土壤呼吸的组成部分及其对非生物因子的响应。

Quantifying components of soil respiration and their response to abiotic factors in two typical subtropical forest stands, southwest China.

作者信息

Yu Lei, Wang Yujie, Wang Yunqi, Sun Suqi, Liu Liziyuan

机构信息

Key Laboratory of Soil and Water Conservation and Desertification Combating, Ministry of Education, Beijing Forestry University, Beijing, China.

出版信息

PLoS One. 2015 Feb 13;10(2):e0117490. doi: 10.1371/journal.pone.0117490. eCollection 2015.

Abstract

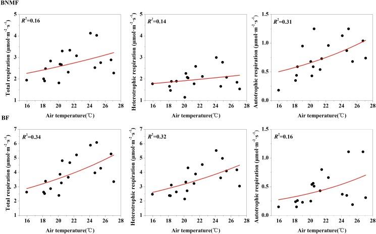
Separating the components of soil respiration and understanding the roles of abiotic factors at a temporal scale among different forest types are critical issues in forest ecosystem carbon cycling. This study quantified the proportions of autotrophic (RA) and heterotrophic (RH) in total soil (RT) respiration using trenching and litter removal. Field studies were conducted in two typical subtropical forest stands (broadleaf and needle leaf mixed forest; bamboo forest) at Jinyun Mountain, near the Three Georges Reservoir in southwest China, during the growing season (Apr.-Sep.) from 2010 to 2012. The effects of air temperature (AT), soil temperature (ST) and soil moisture (SM) at 6 cm depth, solar radiation (SR), pH on components of soil respiration were analyzed. Results show that: 1) SR, AT, and ST exhibited a similar temporal trend. The observed abiotic factors showed slight interannual variability for the two forest stands. 2) The contributions of RH and RA to RT for broadleaf and needle leaf mixed forest were 73.25% and 26.75%, respectively, while those for bamboo forest were 89.02% and 10.98%, respectively; soil respiration peaked from June to July. In both stands, CO2 released from the decomposition of soil organic matter (SOM), the strongest contributor to RT, accounted for over 63% of RH. 3) AT and ST were significantly positively correlated with RT and its components (p<0.05), and were major factors affecting soil respiration. 4) Components of soil respiration were significantly different between two forest stands (p<0.05), indicating that vegetation types played a role in soil respiration and its components.

摘要

区分土壤呼吸的组成部分并理解非生物因素在不同森林类型的时间尺度上所起的作用,是森林生态系统碳循环中的关键问题。本研究采用 trenching 和去除凋落物的方法,量化了总土壤(RT)呼吸中自养(RA)和异养(RH)的比例。2010 年至 2012 年生长季节(4 月至 9 月),在中国西南部三峡水库附近的缙云山,对两个典型的亚热带森林林分(阔叶林和针叶混交林;竹林)进行了实地研究。分析了 6 厘米深度处的气温(AT)、土壤温度(ST)和土壤湿度(SM)、太阳辐射(SR)、pH 对土壤呼吸组成部分的影响。结果表明:1)SR、AT 和 ST 呈现出相似的时间趋势。观测到的非生物因素在两个林分中表现出轻微的年际变化。2)阔叶林和针叶混交林的 RH 和 RA 对 RT 的贡献分别为 73.25%和 26.75%,而竹林的贡献分别为 89.02%和 10.98%;土壤呼吸在 6 月至 7 月达到峰值。在两个林分中,土壤有机质(SOM)分解释放的 CO2 是 RT 的最强贡献者,占 RH 的比例超过 63%。3)AT 和 ST 与 RT 及其组成部分显著正相关(p<0.05),是影响土壤呼吸的主要因素。4)两个林分的土壤呼吸组成部分存在显著差异(p<0.05),表明植被类型对土壤呼吸及其组成部分有影响。

https://cdn.ncbi.nlm.nih.gov/pmc/blobs/b18c/4332482/39c0b736dd85/pone.0117490.g001.jpg

文献AI研究员

20分钟写一篇综述,助力文献阅读效率提升50倍。

立即体验

用中文搜PubMed

大模型驱动的PubMed中文搜索引擎

马上搜索

文档翻译

学术文献翻译模型,支持多种主流文档格式。

立即体验