• 文献检索
  • 文档翻译
  • 深度研究
  • 学术资讯
  • Suppr Zotero 插件Zotero 插件
  • 邀请有礼
  • 套餐&价格
  • 历史记录
应用&插件
Suppr Zotero 插件Zotero 插件浏览器插件Mac 客户端Windows 客户端微信小程序
定价
高级版会员购买积分包购买API积分包
服务
文献检索文档翻译深度研究API 文档MCP 服务
关于我们
关于 Suppr公司介绍联系我们用户协议隐私条款
关注我们

Suppr 超能文献

核心技术专利:CN118964589B侵权必究
粤ICP备2023148730 号-1Suppr @ 2026

文献检索

告别复杂PubMed语法,用中文像聊天一样搜索,搜遍4000万医学文献。AI智能推荐,让科研检索更轻松。

立即免费搜索

文件翻译

保留排版,准确专业,支持PDF/Word/PPT等文件格式,支持 12+语言互译。

免费翻译文档

深度研究

AI帮你快速写综述,25分钟生成高质量综述,智能提取关键信息,辅助科研写作。

立即免费体验

抗结核药物在马拉维儿童中的药代动力学:重新审视乙胺丁醇的作用。

Pharmacokinetics of anti-TB drugs in Malawian children: reconsidering the role of ethambutol.

作者信息

Mlotha R, Waterhouse D, Dzinjalamala F, Ardrey A, Molyneux E, Davies G R, Ward S

机构信息

Department of Paediatrics, Queen Elizabeth Central Hospital, Blantyre, Malawi.

Department of Molecular Parasitology, Liverpool School of Tropical Medicine, Liverpool, UK.

出版信息

J Antimicrob Chemother. 2015;70(6):1798-803. doi: 10.1093/jac/dkv039. Epub 2015 Mar 10.

DOI:10.1093/jac/dkv039
PMID:25759035
原文链接:https://pmc.ncbi.nlm.nih.gov/articles/PMC4498297/
Abstract

BACKGROUND

Current guidelines for dosing of anti-TB drugs in children advocate higher doses for rifampicin and isoniazid despite limited availability of paediatric data on the pharmacokinetics of these drugs, especially from Africa, where the burden of childhood disease remains high.

METHODS

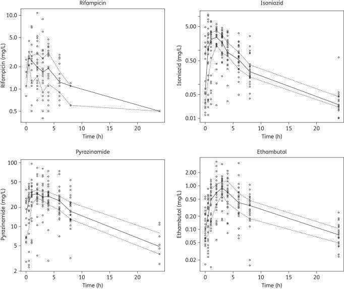
Thirty children aged 6 months to 15 years underwent intensive pharmacokinetic sampling for first-line anti-TB drugs at Queen Elizabeth Central Hospital, Blantyre, Malawi. Rifampicin, isoniazid, pyrazinamide and ethambutol were dosed at 10, 5, 25 and 20 mg/kg, respectively. Plasma drug concentrations were determined using sensitive, validated bioanalytical methods and summary pharmacokinetic parameters were estimated using non-compartmental analysis.

RESULTS

The median (IQR) Cmax was 2.90 (2.08-3.43), 3.37 (2.55-4.59), 34.60 (32.30-40.90) and 1.20 (0.85-1.68) mg/L while the median (IQR) AUC0-∞ was 16.92 (11.10-22.74), 11.48 (7.35-18.93), 333.50 (279.50-487.2) and 8.65 (5.96-11.47) mg·h/L for rifampicin, isoniazid, pyrazinamide and ethambutol, respectively. For all drugs, pharmacokinetic parameters relating to drug absorption and exposure were lower than those published for adults, though similar to existing paediatric data from sub-Saharan Africa. Weight and/or dose predicted at least one measure of exposure for all drugs. Age-related decreases in CL/F for rifampicin and pyrazinamide and a biphasic elimination pattern of isoniazid were observed. Predicted AUC0 -∞ for rifampicin dosed at 15 mg/kg was comparable to that of adults while the dose required to achieve ethambutol exposure similar to that in adults was 55 mg/kg or higher.

CONCLUSIONS

These data support recently revised WHO recommendations for dosing of anti-TB drugs in children, but dosing of ethambutol in children also appears inadequate by comparison with adult pharmacokinetic data.

摘要

背景

尽管关于这些药物的药代动力学的儿科数据有限,尤其是来自儿童疾病负担仍然很高的非洲地区,但目前儿童抗结核药物给药指南提倡对利福平和平共处异烟肼采用更高剂量。

方法

在马拉维布兰太尔的伊丽莎白女王中央医院,对30名年龄在6个月至15岁的儿童进行了一线抗结核药物的强化药代动力学采样。利福平、异烟肼、吡嗪酰胺和乙胺丁醇的给药剂量分别为10、5、25和20mg/kg。使用灵敏、经过验证的生物分析方法测定血浆药物浓度,并使用非房室分析估计药代动力学总结参数。

结果

利福平、异烟肼、吡嗪酰胺和乙胺丁醇的Cmax中位数(IQR)分别为2.90(2.08 - 3.43)、3.37(2.55 - 4.59)、34.60(32.30 - 40.90)和1.20(0.85 - 1.68)mg/L,而AUC0-∞中位数(IQR)分别为16.92(11.10 - 22.74)、11.48(7.35 - 18.93)、333.50(279.50 - 487.2)和8.65(5.96 - 11.47)mg·h/L。对于所有药物,与药物吸收和暴露相关的药代动力学参数均低于已发表的成人数据,但与撒哈拉以南非洲现有的儿科数据相似。体重和/或剂量可预测所有药物的至少一种暴露指标。观察到利福平和吡嗪酰胺的CL/F随年龄降低以及异烟肼的双相消除模式。以15mg/kg给药的利福平预测AUC0 -∞与成人相当,而要使乙胺丁醇的暴露量与成人相似所需的剂量为≥55mg/kg。

结论

这些数据支持世界卫生组织最近修订的儿童抗结核药物给药建议,但与成人药代动力学数据相比,儿童乙胺丁醇的给药似乎也不足。

https://cdn.ncbi.nlm.nih.gov/pmc/blobs/68fa/4498297/2379e72e40e4/dkv03903.jpg
https://cdn.ncbi.nlm.nih.gov/pmc/blobs/68fa/4498297/3e457a83cd5c/dkv03901.jpg
https://cdn.ncbi.nlm.nih.gov/pmc/blobs/68fa/4498297/05d1359bbbfc/dkv03902.jpg
https://cdn.ncbi.nlm.nih.gov/pmc/blobs/68fa/4498297/2379e72e40e4/dkv03903.jpg
https://cdn.ncbi.nlm.nih.gov/pmc/blobs/68fa/4498297/3e457a83cd5c/dkv03901.jpg
https://cdn.ncbi.nlm.nih.gov/pmc/blobs/68fa/4498297/05d1359bbbfc/dkv03902.jpg
https://cdn.ncbi.nlm.nih.gov/pmc/blobs/68fa/4498297/2379e72e40e4/dkv03903.jpg

相似文献

1
Pharmacokinetics of anti-TB drugs in Malawian children: reconsidering the role of ethambutol.抗结核药物在马拉维儿童中的药代动力学:重新审视乙胺丁醇的作用。
J Antimicrob Chemother. 2015;70(6):1798-803. doi: 10.1093/jac/dkv039. Epub 2015 Mar 10.
2
Pharmacokinetics of anti-tuberculosis drugs in Venezuelan children younger than 16 years of age: supportive evidence for the implementation of revised WHO dosing recommendations.抗结核药物在委内瑞拉 16 岁以下儿童中的药代动力学:对实施世卫组织修订剂量建议的支持证据。
Trop Med Int Health. 2012 Dec;17(12):1449-56. doi: 10.1111/tmi.12003. Epub 2012 Oct 24.
3
Pharmacokinetics of isoniazid, rifampicin, pyrazinamide and ethambutol in HIV-infected Indian children.异烟肼、利福平、吡嗪酰胺和乙胺丁醇在感染HIV的印度儿童中的药代动力学
Int J Tuberc Lung Dis. 2016 May;20(5):666-72. doi: 10.5588/ijtld.15.0288.
4
Pharmacokinetics of Antituberculosis Drugs in HIV-Positive and HIV-Negative Adults in Malawi.马拉维HIV阳性和HIV阴性成年人抗结核药物的药代动力学
Antimicrob Agents Chemother. 2015 Oct;59(10):6175-80. doi: 10.1128/AAC.01193-15. Epub 2015 Jul 27.
5
Pharmacokinetics of isoniazid, rifampicin, pyrazinamide and ethambutol in Indian children.异烟肼、利福平、吡嗪酰胺和乙胺丁醇在印度儿童中的药代动力学
BMC Infect Dis. 2015 Mar 14;15:126. doi: 10.1186/s12879-015-0862-7.
6
Oral bioavailability of rifampicin, isoniazid, ethambutol, and pyrazinamide in a 4-drug fixed-dose combination compared with the separate formulations in healthy Chinese male volunteers.利福平、异烟肼、乙胺丁醇和吡嗪酰胺 4 种药物固定剂量复方制剂与健康中国男性志愿者中单药制剂比较的口服生物利用度。
Clin Ther. 2013 Feb;35(2):161-8. doi: 10.1016/j.clinthera.2013.01.003.
7
Evaluation of dried blood spot sampling for pharmacokinetic research and therapeutic drug monitoring of anti-tuberculosis drugs in children.评价干血斑采样在儿童抗结核药物药代动力学研究和治疗药物监测中的应用。
Int J Antimicrob Agents. 2018 Jul;52(1):109-113. doi: 10.1016/j.ijantimicag.2018.04.020. Epub 2018 May 8.
8
Pharmacokinetics of First-Line Drugs Among Children With Tuberculosis in Rural Tanzania.坦桑尼亚农村地区儿童结核病一线药物的药代动力学。
J Pediatric Infect Dis Soc. 2020 Feb 28;9(1):14-20. doi: 10.1093/jpids/piy106.
9
Pharmacokinetics of the First-Line Antituberculosis Drugs in Ghanaian Children with Tuberculosis with or without HIV Coinfection.一线抗结核药物在加纳合并或未合并HIV感染的结核病儿童中的药代动力学。
Antimicrob Agents Chemother. 2017 Jan 24;61(2). doi: 10.1128/AAC.01701-16. Print 2017 Feb.
10
The pharmacokinetics of a single oral or rectal dose of concurrently administered isoniazid, rifampin, pyrazinamide, and ethambutol in Asian elephants (Elephas maximus).同时服用异烟肼、利福平、吡嗪酰胺和乙胺丁醇的单剂量口服或直肠给药在亚洲象(印度象)体内的药代动力学。
J Vet Pharmacol Ther. 2014 Oct;37(5):472-9. doi: 10.1111/jvp.12119. Epub 2014 Mar 29.

引用本文的文献

1
Effectiveness and Pharmacokinetic Exposures of First-Line Drugs Used to Treat Drug-Susceptible Tuberculosis in Children: A Systematic Review and Meta-Analysis.一线药物治疗儿童耐多药结核病的有效性和药代动力学暴露:系统评价和荟萃分析。
Clin Infect Dis. 2023 May 3;76(9):1658-1670fc. doi: 10.1093/cid/ciac973.
2
Global estimates and determinants of antituberculosis drug pharmacokinetics in children and adolescents: a systematic review and individual patient data meta-analysis.全球儿童和青少年抗结核药物药代动力学的估计和决定因素:系统评价和个体患者数据荟萃分析。
Eur Respir J. 2023 Mar 9;61(3). doi: 10.1183/13993003.01596-2022. Print 2023 Mar.
3

本文引用的文献

1
Understanding dosing: children are small adults, neonates are immature children.了解剂量:儿童是小大人,新生儿是不成熟的儿童。
Arch Dis Child. 2013 Sep;98(9):737-44. doi: 10.1136/archdischild-2013-303720. Epub 2013 Jul 5.
2
Requirements for the clinical evaluation of new anti-tuberculosis agents in children.儿童用新型抗结核药物的临床评价要求。
Int J Tuberc Lung Dis. 2013 Jun;17(6):794-9. doi: 10.5588/ijtld.12.0567.
3
Childhood tuberculosis: progress requires an advocacy strategy now.儿童结核病:现在需要制定一项宣传策略来推动进展。
Pharmacokinetics of First-Line Anti-Tubercular Drugs.
一线抗结核药物的药代动力学。
Indian J Pediatr. 2019 May;86(5):468-478. doi: 10.1007/s12098-019-02911-w. Epub 2019 Mar 26.
4
Evaluation of the Adequacy of WHO Revised Dosages of the First-Line Antituberculosis Drugs in Children with Tuberculosis Using Population Pharmacokinetic Modeling and Simulations.采用群体药代动力学建模和模拟评价世界卫生组织修订的儿童结核病一线抗结核药物剂量的适宜性。
Antimicrob Agents Chemother. 2018 Aug 27;62(9). doi: 10.1128/AAC.00008-18. Print 2018 Sep.
5
Genetic Determinants of the Pharmacokinetic Variability of Rifampin in Malawian Adults with Pulmonary Tuberculosis.马拉维成年肺结核患者中利福平药代动力学变异性的遗传决定因素
Antimicrob Agents Chemother. 2017 Jun 27;61(7). doi: 10.1128/AAC.00210-17. Print 2017 Jul.
6
Optimizing treatment outcome of first-line anti-tuberculosis drugs: the role of therapeutic drug monitoring.优化一线抗结核药物的治疗效果:治疗药物监测的作用
Eur J Clin Pharmacol. 2016 Aug;72(8):905-16. doi: 10.1007/s00228-016-2083-4. Epub 2016 Jun 15.
7
Pharmacokinetics of Rifampin, Isoniazid, Pyrazinamide, and Ethambutol in Infants Dosed According to Revised WHO-Recommended Treatment Guidelines.按照世界卫生组织修订的推荐治疗指南给药的婴儿中利福平、异烟肼、吡嗪酰胺和乙胺丁醇的药代动力学
Antimicrob Agents Chemother. 2016 Mar 25;60(4):2171-9. doi: 10.1128/AAC.02600-15. Print 2016 Apr.
8
A simultaneous population pharmacokinetic analysis of rifampicin in Malawian adults and children.一项针对马拉维成人和儿童中利福平的同步群体药代动力学分析。
Br J Clin Pharmacol. 2016 Apr;81(4):679-87. doi: 10.1111/bcp.12848. Epub 2016 Jan 30.
9
Pharmacokinetics of Antituberculosis Drugs in HIV-Positive and HIV-Negative Adults in Malawi.马拉维HIV阳性和HIV阴性成年人抗结核药物的药代动力学
Antimicrob Agents Chemother. 2015 Oct;59(10):6175-80. doi: 10.1128/AAC.01193-15. Epub 2015 Jul 27.
Eur Respir J. 2012 Aug;40(2):294-7. doi: 10.1183/09031936.00187711. Epub 2012 Feb 15.
4
Characterization of genetic variation and natural selection at the arylamine N-acetyltransferase genes in global human populations.全球人类群体中芳香胺 N-乙酰基转移酶基因的遗传变异和自然选择特征。
Pharmacogenomics. 2011 Nov;12(11):1545-58. doi: 10.2217/pgs.11.88. Epub 2011 Oct 13.
5
Pharmacokinetics of isoniazid, rifampin, and pyrazinamide in children younger than two years of age with tuberculosis: evidence for implementation of revised World Health Organization recommendations.异烟肼、利福平、吡嗪酰胺在 2 岁以下儿童结核病患者中的药代动力学:实施世界卫生组织修订建议的证据。
Antimicrob Agents Chemother. 2011 Dec;55(12):5560-7. doi: 10.1128/AAC.05429-11. Epub 2011 Oct 3.
6
Pyrazinamide pharmacokinetics and efficacy in adults and children.吡嗪酰胺药代动力学及其在成人和儿童中的疗效。
Tuberculosis (Edinb). 2012 Jan;92(1):1-8. doi: 10.1016/j.tube.2011.05.006. Epub 2011 Jul 26.
7
The pharmacokinetics and pharmacodynamics of rifampicin in adults and children in relation to the dosage recommended for children.利福平在成人和儿童中的药代动力学和药效学与推荐给儿童的剂量有关。
Tuberculosis (Edinb). 2011 May;91(3):196-207. doi: 10.1016/j.tube.2011.02.004. Epub 2011 Mar 22.
8
Pyrazinamide plasma concentrations in young children with tuberculosis.儿童结核病患者吡嗪酰胺的血药浓度。
Pediatr Infect Dis J. 2011 Mar;30(3):262-5. doi: 10.1097/inf.0b013e3181fbefe1.
9
Isoniazid plasma concentrations in a cohort of South African children with tuberculosis: implications for international pediatric dosing guidelines.南非患结核病儿童队列中的异烟肼血浆浓度:对国际儿科用药剂量指南的影响。
Clin Infect Dis. 2009 Jun 1;48(11):1547-53. doi: 10.1086/598192.
10
Rifampin pharmacokinetics in children, with and without human immunodeficiency virus infection, hospitalized for the management of severe forms of tuberculosis.利福平在因严重结核病住院治疗的儿童中的药代动力学,包括感染和未感染人类免疫缺陷病毒的儿童。
BMC Med. 2009 Apr 22;7:19. doi: 10.1186/1741-7015-7-19.