• 文献检索
  • 文档翻译
  • 深度研究
  • 学术资讯
  • Suppr Zotero 插件Zotero 插件
  • 邀请有礼
  • 套餐&价格
  • 历史记录
应用&插件
Suppr Zotero 插件Zotero 插件浏览器插件Mac 客户端Windows 客户端微信小程序
定价
高级版会员购买积分包购买API积分包
服务
文献检索文档翻译深度研究API 文档MCP 服务
关于我们
关于 Suppr公司介绍联系我们用户协议隐私条款
关注我们

Suppr 超能文献

核心技术专利:CN118964589B侵权必究
粤ICP备2023148730 号-1Suppr @ 2026

文献检索

告别复杂PubMed语法,用中文像聊天一样搜索,搜遍4000万医学文献。AI智能推荐,让科研检索更轻松。

立即免费搜索

文件翻译

保留排版,准确专业,支持PDF/Word/PPT等文件格式,支持 12+语言互译。

免费翻译文档

深度研究

AI帮你快速写综述,25分钟生成高质量综述,智能提取关键信息,辅助科研写作。

立即免费体验

含萘基的基于三芳基胺的供体-受体分子作为有机太阳能电池供体材料的结构-性能关系

Structure-properties relationships in triarylamine-based donor-acceptor molecules containing naphtyl groups as donor material for organic solar cells.

作者信息

Mohamed Salma, Demeter Dora, Laffitte Jean-Alex, Blanchard Philippe, Roncali Jean

机构信息

Group Linear Conjugated Systems, CNRS UMR 6200, MOLTECH-Anjou, University of Angers 2 Bd Lavoisier, 49045 Angers, France.

ARKEMA, groupement de recherche de Lacq, Po Box 34 RN 117, 64170 Lacq, France.

出版信息

Sci Rep. 2015 Mar 12;5:9031. doi: 10.1038/srep09031.

DOI:10.1038/srep09031
PMID:25761773
原文链接:https://pmc.ncbi.nlm.nih.gov/articles/PMC4356976/
Abstract

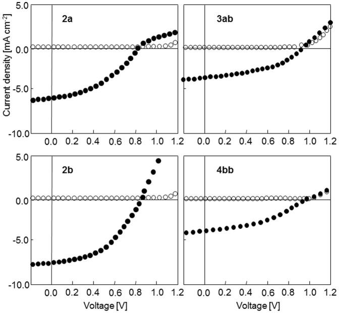
The effects of replacing the phenyl rings of triphenylamine (TPA) by naphtyl groups are analysed on a series of push-pull molecules containing a 2-thienyl-dicyanovinyl acceptor group. UV-Vis absorption spectroscopy and cyclic voltammetry show that the introduction of one or two naphtyl groups in the structure has limited effects on the optical properties and energy levels of the molecule. On the other hand, the evaluation of the compounds as donor material in bi-layer solar cells with C60 as acceptor shows that the number and mode of linkage of the naphtyl groups exert a marked influence on the power conversion efficiency (PCE) of the cell. Two naphtyl groups lead to a decrease of PCE with respect to TPA, while a single naphtyl group produces opposite effects depending on the linking mode. Compared to TPA, an alpha-naphtyl group leads to a small decrease of PCE while in contrast a beta-naphtyl leads to a ~35% increase of PCE due to improved short-circuit current density (Jsc) and fill-factor. The determination of the hole-mobility of these two donors by the space-charge-limited current method shows that these effects are correlated with the higher hole-mobility of the β-naphtyl compound.

摘要

在一系列含有2-噻吩基-二氰基乙烯受体基团的推挽型分子中,分析了用萘基取代三苯胺(TPA)苯环的影响。紫外-可见吸收光谱和循环伏安法表明,在结构中引入一个或两个萘基对分子的光学性质和能级影响有限。另一方面,以C60为受体的双层太阳能电池中对这些化合物作为供体材料的评估表明,萘基的连接数量和方式对电池的功率转换效率(PCE)有显著影响。相对于TPA,两个萘基会导致PCE降低,而单个萘基根据连接方式会产生相反的效果。与TPA相比,α-萘基会导致PCE略有下降,而相反,β-萘基由于短路电流密度(Jsc)和填充因子的改善,会导致PCE提高约35%。通过空间电荷限制电流法测定这两种供体的空穴迁移率表明,这些效应与β-萘基化合物较高的空穴迁移率相关。

https://cdn.ncbi.nlm.nih.gov/pmc/blobs/9ad1/4356976/707eee1d5cd9/srep09031-f6.jpg
https://cdn.ncbi.nlm.nih.gov/pmc/blobs/9ad1/4356976/762a5e5a3bf3/srep09031-f1.jpg
https://cdn.ncbi.nlm.nih.gov/pmc/blobs/9ad1/4356976/da027ef7d4a9/srep09031-f2.jpg
https://cdn.ncbi.nlm.nih.gov/pmc/blobs/9ad1/4356976/61dd59712ae3/srep09031-f3.jpg
https://cdn.ncbi.nlm.nih.gov/pmc/blobs/9ad1/4356976/ed3ec80e7c89/srep09031-f4.jpg
https://cdn.ncbi.nlm.nih.gov/pmc/blobs/9ad1/4356976/7384f2e46847/srep09031-f5.jpg
https://cdn.ncbi.nlm.nih.gov/pmc/blobs/9ad1/4356976/707eee1d5cd9/srep09031-f6.jpg
https://cdn.ncbi.nlm.nih.gov/pmc/blobs/9ad1/4356976/762a5e5a3bf3/srep09031-f1.jpg
https://cdn.ncbi.nlm.nih.gov/pmc/blobs/9ad1/4356976/da027ef7d4a9/srep09031-f2.jpg
https://cdn.ncbi.nlm.nih.gov/pmc/blobs/9ad1/4356976/61dd59712ae3/srep09031-f3.jpg
https://cdn.ncbi.nlm.nih.gov/pmc/blobs/9ad1/4356976/ed3ec80e7c89/srep09031-f4.jpg
https://cdn.ncbi.nlm.nih.gov/pmc/blobs/9ad1/4356976/7384f2e46847/srep09031-f5.jpg
https://cdn.ncbi.nlm.nih.gov/pmc/blobs/9ad1/4356976/707eee1d5cd9/srep09031-f6.jpg

相似文献

1
Structure-properties relationships in triarylamine-based donor-acceptor molecules containing naphtyl groups as donor material for organic solar cells.含萘基的基于三芳基胺的供体-受体分子作为有机太阳能电池供体材料的结构-性能关系
Sci Rep. 2015 Mar 12;5:9031. doi: 10.1038/srep09031.
2
Small D-π-A systems with o-phenylene-bridged accepting units as active materials for organic photovoltaics.具有邻-苯撑桥接受电子单元的小 D-π-A 体系作为有机光伏活性材料。
Chemistry. 2013 Jul 22;19(30):9948-60. doi: 10.1002/chem.201301054. Epub 2013 Jun 14.
3
Star-shaped D-A small molecules based on diketopyrrolopyrrole and triphenylamine for efficient solution-processed organic solar cells.基于二酮吡咯并吡咯(Diketopyrrolopyrrole, DPP)和三苯胺(Triphenylamine, TPA)的星形 D-A 小分子用于高效溶液处理有机太阳能电池。
ACS Appl Mater Interfaces. 2013 Feb;5(3):972-80. doi: 10.1021/am302623k. Epub 2013 Jan 29.
4
A D-π-A1-π-A2 push-pull small molecule donor for solution processed bulk heterojunction organic solar cells.用于溶液处理体异质结有机太阳能电池的D-π-A1-π-A2推挽型小分子给体
Phys Chem Chem Phys. 2016 May 18;18(20):13918-26. doi: 10.1039/c6cp01163b.
5
Simple and versatile molecular donors for organic photovoltaics prepared by metal-free synthesis.通过无金属合成制备的用于有机光伏的简单且通用的分子供体。
Chemistry. 2015 Jan 19;21(4):1598-608. doi: 10.1002/chem.201405425. Epub 2014 Nov 27.
6
Small molecular donors for organic solar cells obtained by simple and clean synthesis.通过简单且纯净的合成方法获得的用于有机太阳能电池的小分子给体。
ChemSusChem. 2014 Apr;7(4):1046-50. doi: 10.1002/cssc.201301339. Epub 2014 Mar 3.
7
Triphenylamine-thienylenevinylene hybrid systems with internal charge transfer as donor materials for heterojunction solar cells.具有内电荷转移的三苯胺-噻吩亚乙烯基杂化体系作为异质结太阳能电池的供体材料。
J Am Chem Soc. 2006 Mar 15;128(10):3459-66. doi: 10.1021/ja058178e.
8
Universal Efficiency Improvement in Organic Solar Cells Based on a Poly(3-hexylthiophene) Donor and an Indene-C60 Bisadduct Acceptor with Additional Donor Nanowires.基于聚(3-己基噻吩)给体和茚-C60双加合物受体并添加给体纳米线的有机太阳能电池的通用效率提升
Chemphyschem. 2015 Apr 27;16(6):1217-22. doi: 10.1002/cphc.201402762. Epub 2015 Mar 11.
9
Molecular bulk heterojunctions: an emerging approach to organic solar cells.分子本体异质结:有机太阳能电池的一种新兴方法。
Acc Chem Res. 2009 Nov 17;42(11):1719-30. doi: 10.1021/ar900041b.
10
An easily accessible donor-π-acceptor-conjugated small molecule from a 4,8-dialkoxybenzo[1,2-b:4,5-b']dithiophene unit for efficient solution-processed organic solar cells.一种具有易接近给体-π-受体共轭结构的小分子,来源于 4,8-二烷氧基苯并[1,2-b:4,5-b']二噻吩单元,可用于高效溶液处理的有机太阳能电池。
ACS Appl Mater Interfaces. 2012 Dec;4(12):6669-75. doi: 10.1021/am301841p. Epub 2012 Nov 26.

引用本文的文献

1
The Dawn of Single Material Organic Solar Cells.单材料有机太阳能电池的曙光。
Adv Sci (Weinh). 2018 Oct 9;6(1):1801026. doi: 10.1002/advs.201801026. eCollection 2019 Jan 9.
2
Thermally induced crystallization, hole-transport, NLO and photovoltaic activity of a bis-diarylamine-based push-pull molecule.基于双二苯胺的推挽分子的热诱导结晶、空穴传输、NLO 和光伏活性。
Sci Rep. 2017 Aug 16;7(1):8317. doi: 10.1038/s41598-017-08606-6.
3
Crystallisation-enhanced bulk hole mobility in phenothiazine-based organic semiconductors.基于吩噻嗪的有机半导体中增强体相空穴迁移率的晶体生长。

本文引用的文献

1
Solution-processed organic solar cells based on dialkylthiol-substituted benzodithiophene unit with efficiency near 10%.基于二烷基硫代苯并二噻吩单元的溶液处理有机太阳能电池,效率接近 10%。
J Am Chem Soc. 2014 Nov 5;136(44):15529-32. doi: 10.1021/ja509703k. Epub 2014 Oct 27.
2
Efficient perovskite solar cells with 13.63 % efficiency based on planar triphenylamine hole conductors.基于平面三苯胺空穴导体的高效钙钛矿太阳能电池,效率达13.63%。
Chemistry. 2014 Aug 25;20(35):10894-9. doi: 10.1002/chem.201403807. Epub 2014 Aug 5.
3
Molecular materials for organic photovoltaics: small is beautiful.
Sci Rep. 2017 Apr 12;7:46268. doi: 10.1038/srep46268.
有机光伏用分子材料:小而美。
Adv Mater. 2014 Jun 18;26(23):3821-38. doi: 10.1002/adma.201305999. Epub 2014 Mar 31.
4
Small molecular donors for organic solar cells obtained by simple and clean synthesis.通过简单且纯净的合成方法获得的用于有机太阳能电池的小分子给体。
ChemSusChem. 2014 Apr;7(4):1046-50. doi: 10.1002/cssc.201301339. Epub 2014 Mar 3.
5
Design and synthesis of molecular donors for solution-processed high-efficiency organic solar cells.用于溶液处理高效有机太阳能电池的分子给体的设计与合成。
Acc Chem Res. 2014 Jan 21;47(1):257-70. doi: 10.1021/ar400136b. Epub 2013 Aug 28.
6
High performance photovoltaic applications using solution-processed small molecules.使用溶液处理小分子的高性能光伏应用。
Acc Chem Res. 2013 Nov 19;46(11):2645-55. doi: 10.1021/ar400088c. Epub 2013 Jul 31.
7
Structural modulation of internal charge transfer in small molecular donors for organic solar cells.小分子给体材料中内电荷转移的结构调控用于有机太阳能电池。
Chem Commun (Camb). 2012 Sep 14;48(71):8907-9. doi: 10.1039/c2cc33921h. Epub 2012 Jul 30.
8
Vacuum-deposited small-molecule organic solar cells with high power conversion efficiencies by judicious molecular design and device optimization.通过巧妙的分子设计和器件优化,制备出具有高功率转换效率的真空沉积小分子有机太阳能电池。
J Am Chem Soc. 2012 Aug 22;134(33):13616-23. doi: 10.1021/ja301872s. Epub 2012 Aug 8.
9
Small molecule semiconductors for high-efficiency organic photovoltaics.用于高效有机光伏的小分子半导体。
Chem Soc Rev. 2012 Jun 7;41(11):4245-72. doi: 10.1039/c2cs15313k. Epub 2012 Mar 28.
10
A new class of semiconducting polymers for bulk heterojunction solar cells with exceptionally high performance.一类新型半导体聚合物,用于具有极高性能的体异质结太阳能电池。
Acc Chem Res. 2010 Sep 21;43(9):1227-36. doi: 10.1021/ar1000296.