• 文献检索
  • 文档翻译
  • 深度研究
  • 学术资讯
  • Suppr Zotero 插件Zotero 插件
  • 邀请有礼
  • 套餐&价格
  • 历史记录
应用&插件
Suppr Zotero 插件Zotero 插件浏览器插件Mac 客户端Windows 客户端微信小程序
定价
高级版会员购买积分包购买API积分包
服务
文献检索文档翻译深度研究API 文档MCP 服务
关于我们
关于 Suppr公司介绍联系我们用户协议隐私条款
关注我们

Suppr 超能文献

核心技术专利:CN118964589B侵权必究
粤ICP备2023148730 号-1Suppr @ 2026

文献检索

告别复杂PubMed语法,用中文像聊天一样搜索,搜遍4000万医学文献。AI智能推荐,让科研检索更轻松。

立即免费搜索

文件翻译

保留排版,准确专业,支持PDF/Word/PPT等文件格式,支持 12+语言互译。

免费翻译文档

深度研究

AI帮你快速写综述,25分钟生成高质量综述,智能提取关键信息,辅助科研写作。

立即免费体验

遮荫的持续时间和强度会对蒺藜苜蓿的菌根生长和磷吸收响应产生差异影响。

Duration and intensity of shade differentially affects mycorrhizal growth- and phosphorus uptake responses of Medicago truncatula.

机构信息

Laboratory of Fungal Biology, Institute of Microbiology, Academy of Sciences of the Czech Republic Prague, Czech Republic.

Laboratory of Fungal Biology, Institute of Microbiology, Academy of Sciences of the Czech Republic Prague, Czech Republic ; Department of Mycorrhizal Symbioses, Institute of Botany, Academy of Sciences of the Czech Republic Průhonice, Czech Republic.

出版信息

Front Plant Sci. 2015 Feb 13;6:65. doi: 10.3389/fpls.2015.00065. eCollection 2015.

DOI:10.3389/fpls.2015.00065
PMID:25763002
原文链接:https://pmc.ncbi.nlm.nih.gov/articles/PMC4327418/
Abstract

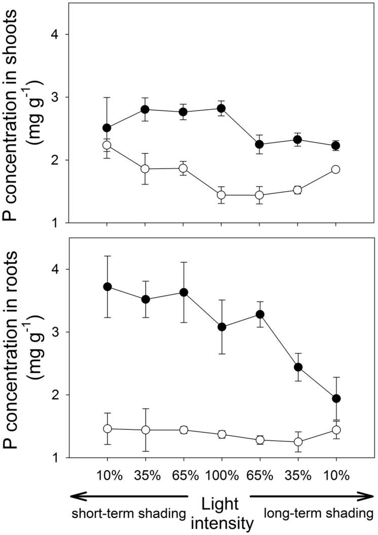
Plant and fungal partners in arbuscular mycorrhizal symbiosis trade mineral nutrients for carbon, with the outcome of this relationship for plant growth and nutrition being highly context-dependent and changing with the availability of resources as well as with the specific requirements of the different partners. Here we studied how the model legume Medicago truncatula, inoculated or not with a mycorrhizal fungus Rhizophagus irregularis, responded to a gradient of light intensities applied over different periods of time, in terms of growth, phosphorus nutrition and the levels of root colonization by the mycorrhizal fungus. Short-term (6 d) shading, depending on its intensity, resulted in a rapid decline of phosphorus uptake to the shoots of mycorrhizal plants and simultaneous accumulation of phosphorus in the roots (most likely in the fungal tissues), as compared to the non-mycorrhizal controls. There was, however, no significant change in the levels of mycorrhizal colonization of roots due to short-term shading. Long-term (38 d) shading, depending on its intensity, provoked a multitude of plant compensatory mechanisms, which were further boosted by the mycorrhizal symbiosis. Mycorrhizal growth- and phosphorus uptake benefits, however, vanished at 10% of the full light intensity applied over a long-term. Levels of root colonization by the mycorrhizal fungus were significantly reduced by long-term shading. Our results indicate that even short periods of shade could have important consequences for the functioning of mycorrhizal symbiosis in terms of phosphorus transfer between the fungus and the plants, without any apparent changes in root colonization parameters or mycorrhizal growth response, and call for more focused research on temporal dynamics of mycorrhizal functioning under changing environmental conditions.

摘要

植物与菌根真菌共生体在共生关系中交换矿质养分和碳,这种关系对植物生长和营养的结果高度依赖于资源的可利用性以及不同共生体的具体需求。在这里,我们研究了模式豆科植物蒺藜苜蓿在接种或不接种菌根真菌粗糙球囊霉的情况下,如何在不同时间段内,对不同光照强度梯度做出响应,包括生长、磷营养和菌根真菌对根系的定殖水平。短期(6 天)遮荫,取决于其强度,导致共生植物地上部磷吸收迅速下降,同时根部磷(很可能在真菌组织中)积累,与非菌根对照相比。然而,由于短期遮荫,根系菌根定殖水平没有显著变化。长期(38 天)遮荫,取决于其强度,引发了许多植物补偿机制,而这些机制进一步被菌根共生所促进。然而,在长期光照强度为 10%时,菌根生长和磷吸收的益处就消失了。菌根真菌对根系的定殖水平因长期遮荫而显著降低。我们的研究结果表明,即使是短期的荫蔽也可能对菌根共生体在真菌和植物之间磷转移方面的功能产生重要影响,而不会对根定植参数或菌根生长反应产生任何明显变化,并呼吁在不断变化的环境条件下,对菌根功能的时间动态进行更有针对性的研究。

https://cdn.ncbi.nlm.nih.gov/pmc/blobs/40f3/4327418/87dbf15ddb43/fpls-06-00065-g005.jpg
https://cdn.ncbi.nlm.nih.gov/pmc/blobs/40f3/4327418/05580813bac6/fpls-06-00065-g001.jpg
https://cdn.ncbi.nlm.nih.gov/pmc/blobs/40f3/4327418/7c4da8349dbb/fpls-06-00065-g002.jpg
https://cdn.ncbi.nlm.nih.gov/pmc/blobs/40f3/4327418/6083df7b0e0d/fpls-06-00065-g003.jpg
https://cdn.ncbi.nlm.nih.gov/pmc/blobs/40f3/4327418/06b8087137b5/fpls-06-00065-g004.jpg
https://cdn.ncbi.nlm.nih.gov/pmc/blobs/40f3/4327418/87dbf15ddb43/fpls-06-00065-g005.jpg
https://cdn.ncbi.nlm.nih.gov/pmc/blobs/40f3/4327418/05580813bac6/fpls-06-00065-g001.jpg
https://cdn.ncbi.nlm.nih.gov/pmc/blobs/40f3/4327418/7c4da8349dbb/fpls-06-00065-g002.jpg
https://cdn.ncbi.nlm.nih.gov/pmc/blobs/40f3/4327418/6083df7b0e0d/fpls-06-00065-g003.jpg
https://cdn.ncbi.nlm.nih.gov/pmc/blobs/40f3/4327418/06b8087137b5/fpls-06-00065-g004.jpg
https://cdn.ncbi.nlm.nih.gov/pmc/blobs/40f3/4327418/87dbf15ddb43/fpls-06-00065-g005.jpg

相似文献

1
Duration and intensity of shade differentially affects mycorrhizal growth- and phosphorus uptake responses of Medicago truncatula.遮荫的持续时间和强度会对蒺藜苜蓿的菌根生长和磷吸收响应产生差异影响。
Front Plant Sci. 2015 Feb 13;6:65. doi: 10.3389/fpls.2015.00065. eCollection 2015.
2
The arbuscular mycorrhizal fungus Rhizophagus irregularis MUCL 41833 increases the phosphorus uptake and biomass of Medicago truncatula, a benzo[a]pyrene-tolerant plant species.丛枝菌根真菌 Rhizophagus irregularis MUCL 41833 增加了磷的吸收和生物量的 Medicago truncatula,一种耐受苯并[a]芘的植物物种。
Mycorrhiza. 2018 Nov;28(8):761-771. doi: 10.1007/s00572-018-0861-9. Epub 2018 Aug 18.
3
Correlative evidence for co-regulation of phosphorus and carbon exchanges with symbiotic fungus in the arbuscular mycorrhizal Medicago truncatula.丛枝菌根共生的 Medicago truncatula 中磷碳交换与共生真菌协同调控的相关证据。
PLoS One. 2019 Nov 11;14(11):e0224938. doi: 10.1371/journal.pone.0224938. eCollection 2019.
4
Lights Off for Arbuscular Mycorrhiza: On Its Symbiotic Functioning under Light Deprivation.丛枝菌根的无光状态:论其在光照不足条件下的共生功能
Front Plant Sci. 2016 Jun 6;7:782. doi: 10.3389/fpls.2016.00782. eCollection 2016.
5
Arbuscular Mycorrhiza Stimulates Biological Nitrogen Fixation in Two spp. through Improved Phosphorus Acquisition.丛枝菌根通过改善磷素吸收促进两种植物的生物固氮作用。
Front Plant Sci. 2017 Mar 27;8:390. doi: 10.3389/fpls.2017.00390. eCollection 2017.
6
The plasma membrane proteome of Medicago truncatula roots as modified by arbuscular mycorrhizal symbiosis.蒺藜苜蓿根系受丛枝菌根共生作用修饰的质膜蛋白质组。
Mycorrhiza. 2018 Jan;28(1):1-16. doi: 10.1007/s00572-017-0789-5. Epub 2017 Jul 19.
7
The membrane proteome of Medicago truncatula roots displays qualitative and quantitative changes in response to arbuscular mycorrhizal symbiosis.蒺藜苜蓿根的膜蛋白质组在丛枝菌根共生作用下呈现出定性和定量的变化。
J Proteomics. 2014 Aug 28;108:354-68. doi: 10.1016/j.jprot.2014.05.028. Epub 2014 Jun 10.
8
Mycorrhiza-mediated potassium transport in Medicago truncatula can be evaluated by using rubidium as a proxy.可以通过使用铷作为替代物来评估蒺藜苜蓿中菌根介导的钾转运。
Plant Sci. 2022 Sep;322:111364. doi: 10.1016/j.plantsci.2022.111364. Epub 2022 Jun 24.
9
Plant-fungus competition for nitrogen erases mycorrhizal growth benefits of Andropogon gerardii under limited nitrogen supply.在氮供应有限的情况下,植物与真菌对氮的竞争消除了糙毛须芒草的菌根生长益处。
Ecol Evol. 2016 May 30;6(13):4332-46. doi: 10.1002/ece3.2207. eCollection 2016 Jul.
10
Arbuscular Mycorrhizal Fungi Increase Pb Uptake of Colonized and Non-Colonized Root and Deliver Extra Pb to Colonized Root Segment.丛枝菌根真菌增加定殖和未定殖根系对铅的吸收,并将额外的铅输送到定殖的根段。
Microorganisms. 2021 Jun 2;9(6):1203. doi: 10.3390/microorganisms9061203.

引用本文的文献

1
The impact of arbuscular mycorrhizal colonization on flooding response of .丛枝菌根定殖对……的淹水响应的影响
Front Plant Sci. 2025 Jan 8;15:1512350. doi: 10.3389/fpls.2024.1512350. eCollection 2024.
2
Shade-Induced Leaf Senescence in Plants.植物中遮荫诱导的叶片衰老
Plants (Basel). 2023 Apr 4;12(7):1550. doi: 10.3390/plants12071550.
3
Mycorrhiza governs plant-plant interactions through preferential allocation of shared nutritional resources: A triple (C, N and P) labeling study.菌根通过共享营养资源的优先分配来调控植物间的相互作用:一项三重(碳、氮和磷)标记研究。

本文引用的文献

1
A new method which gives an objective measure of colonization of roots by vesicular-arbuscular mycorrhizal fungi.一种用于客观测量泡囊丛枝菌根真菌对根系定殖情况的新方法。
New Phytol. 1990 Jul;115(3):495-501. doi: 10.1111/j.1469-8137.1990.tb00476.x.
2
The effect of magnesium ions on the vesicular-arbuscular mycorrhizal infection of maize roots.镁离子对玉米根系泡囊-丛枝菌根感染的影响。
New Phytol. 1992 Nov;122(3):455-460. doi: 10.1111/j.1469-8137.1992.tb00073.x.
3
Mycorrhizal growth responses: interactions between photon irradiance and phosphorus nutrition.
Front Plant Sci. 2022 Dec 15;13:1047270. doi: 10.3389/fpls.2022.1047270. eCollection 2022.
4
Experimental duration determines the effect of arbuscular mycorrhizal fungi on plant biomass in pot experiments: A meta-analysis.实验持续时间决定丛枝菌根真菌在盆栽实验中对植物生物量的影响:一项荟萃分析。
Front Plant Sci. 2022 Nov 3;13:1024874. doi: 10.3389/fpls.2022.1024874. eCollection 2022.
5
Rhizosphere inoculation of with TRA1-16 in controlled environment agriculture: Effects of varying light intensities on the mutualism-parasitism interaction.在可控环境农业中用TRA1-16对根际进行接种:不同光照强度对共生-寄生相互作用的影响。
Front Plant Sci. 2022 Oct 20;13:989155. doi: 10.3389/fpls.2022.989155. eCollection 2022.
6
Effects of Arbuscular Mycorrhizal Fungi on Rice Growth Under Different Flooding and Shading Regimes.不同淹水和遮荫条件下丛枝菌根真菌对水稻生长的影响
Front Microbiol. 2021 Oct 26;12:756752. doi: 10.3389/fmicb.2021.756752. eCollection 2021.
7
A historical perspective on mycorrhizal mutualism emphasizing arbuscular mycorrhizas and their emerging challenges.从历史角度看菌根共生关系,重点关注丛枝菌根及其面临的新挑战。
Mycorrhiza. 2021 Nov;31(6):637-653. doi: 10.1007/s00572-021-01053-2. Epub 2021 Oct 16.
8
Interactive Effects of Mycorrhizae, Soil Phosphorus, and Light on Growth and Induction and Priming of Defense in .菌根、土壤磷素和光照对[植物名称]生长及防御诱导与启动的交互作用
Front Plant Sci. 2021 Mar 23;12:647372. doi: 10.3389/fpls.2021.647372. eCollection 2021.
9
Mycorrhizal fungi control phosphorus value in trade symbiosis with host roots when exposed to abrupt 'crashes' and 'booms' of resource availability.在资源供应的突然“崩溃”和“繁荣”中,菌根真菌与宿主根系进行共生贸易时会控制磷的含量。
New Phytol. 2021 Mar;229(5):2933-2944. doi: 10.1111/nph.17055. Epub 2020 Nov 29.
10
Temporal tracking of quantum-dot apatite across in vitro mycorrhizal networks shows how host demand can influence fungal nutrient transfer strategies.量子点磷灰石在体外菌根网络中的时间追踪显示了宿主需求如何影响真菌养分转移策略。
ISME J. 2021 Feb;15(2):435-449. doi: 10.1038/s41396-020-00786-w. Epub 2020 Sep 28.
菌根生长响应:光子辐照度与磷营养之间的相互作用
New Phytol. 1988 Mar;108(3):305-314. doi: 10.1111/j.1469-8137.1988.tb04167.x.
4
Phosphate pool dynamics in the arbuscular mycorrhizal fungus Glomus intraradices studied by in vivo P NMR spectroscopy.利用体内磷核磁共振波谱法研究丛枝菌根真菌根内球囊霉中的磷库动态。
New Phytol. 2004 Jun;162(3):783-794. doi: 10.1111/j.1469-8137.2004.01048.x.
5
Mycorrhizal phenotypes and the Law of the Minimum.菌根表型与最小养分律
New Phytol. 2015 Mar;205(4):1473-1484. doi: 10.1111/nph.13172. Epub 2014 Nov 21.
6
Fungal nutrient allocation in common mycorrhizal networks is regulated by the carbon source strength of individual host plants.常见菌根网络中真菌的养分分配受单个宿主植物碳源强度的调节。
New Phytol. 2014 Jul;203(2):646-656. doi: 10.1111/nph.12827. Epub 2014 May 2.
7
Plant species differ in their ability to reduce allocation to non-beneficial arbuscular mycorrhizal fungi.植物物种在减少对非有益丛枝菌根真菌分配的能力上存在差异。
Ecology. 2012 Apr;93(4):711-8. doi: 10.1890/11-1358.1.
8
Mycorrhizal networks: common goods of plants shared under unequal terms of trade.菌根网络:植物在不平等的贸易条件下共享的共有商品。
Plant Physiol. 2012 Jun;159(2):789-97. doi: 10.1104/pp.112.195727. Epub 2012 Apr 19.
9
Carbon availability triggers fungal nitrogen uptake and transport in arbuscular mycorrhizal symbiosis.碳供应触发丛枝菌根共生中真菌的氮吸收和运输。
Proc Natl Acad Sci U S A. 2012 Feb 14;109(7):2666-71. doi: 10.1073/pnas.1118650109. Epub 2012 Jan 30.
10
Reciprocal rewards stabilize cooperation in the mycorrhizal symbiosis.互惠互利的回报稳定了菌根共生关系中的合作。
Science. 2011 Aug 12;333(6044):880-2. doi: 10.1126/science.1208473.