Suppr超能文献

2003年至2012年牙科期刊的发展:文献计量分析

The evolution of dental journals from 2003 to 2012: a bibliometric analysis.

作者信息

Jayaratne Yasas Shri Nalaka, Zwahlen Roger Arthur

机构信息

Division of Orthodontics, Department of Craniofacial Sciences, University of Connecticut School of Dental Medicine, 263 Farmington Avenue, Farmington, Connecticut 06030, United States of America; Discipline of Oral & Maxillofacial Surgery, Faculty of Dentistry, The University of Hong Kong, Pokfulam, Hong Kong Special Administrative Region.

Discipline of Oral & Maxillofacial Surgery, Faculty of Dentistry, The University of Hong Kong, Pokfulam, Hong Kong Special Administrative Region.

出版信息

PLoS One. 2015 Mar 17;10(3):e0119503. doi: 10.1371/journal.pone.0119503. eCollection 2015.

Abstract

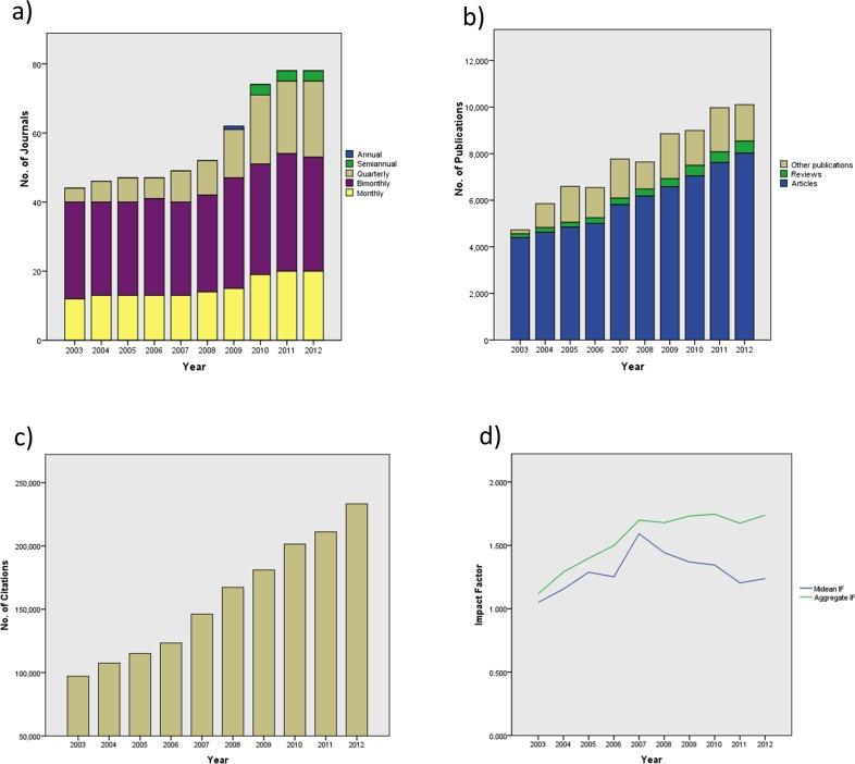
Bibliometrics are a set of methods, which can be used to analyze academic literature quantitatively and its changes over time. The objectives of this study were 1) to evaluate trends related to academic performance of dental journals from 2003 to 2012 using bibliometric indices, and 2) monitor the changes of the five dental journals with the highest and lowest impact factor (IF) published in 2003. Data for the subject category "Dentistry, Oral Surgery & Medicine" was retrieved from the Journal Citation Reports (JCR) published from 2003 to 2012. Linear regressions analysis was used to determine statistical trends over the years with each bibliometric indicator as the dependent variable and the JCR year as the predictor variable. Statistically significant rise in the total number of dental journals, the number of all articles with the steepest rise observed for research articles, the number of citations and the aggregate IF was observed from 2003 to 2012. The analysis of the five top and five bottom-tire dental journals revealed a rise in IF however, with a wide variation in relation to the magnitude of this rise. Although the IF of the top five journals remained relatively constant, the percentile ranks of the four lowest ranking journals in 2003 increased significantly with the sharpest rise being noted for the British Journal of Oral & Maxillofacial Surgery. This study revealed significant growth of dental literature in absolute terms, as well as upward trends for most of the citation-based bibliometric indices from 2003 to 2012.

摘要

文献计量学是一组方法,可用于对学术文献进行定量分析及其随时间的变化。本研究的目的是:1)使用文献计量指标评估2003年至2012年牙科期刊学术表现的相关趋势;2)监测2003年发表的影响因子(IF)最高和最低的五种牙科期刊的变化。从2003年至2012年出版的《期刊引证报告》(JCR)中检索“牙科、口腔外科与医学”主题类别的数据。使用线性回归分析来确定多年来的统计趋势,将每个文献计量指标作为因变量,将JCR年份作为预测变量。从2003年到2012年,观察到牙科期刊总数、所有文章数量(研究文章增长最为显著)、引用次数和综合影响因子有统计学意义的上升。对排名前五和后五的牙科期刊的分析显示影响因子有所上升,不过,这种上升幅度差异很大。尽管排名前五的期刊的影响因子保持相对稳定,但2003年排名最低的四种期刊的百分位排名显著上升,其中《英国口腔颌面外科杂志》上升最为明显。本研究表明,从绝对数量来看,牙科文献有显著增长,并且从2003年到2012年,大多数基于引用的文献计量指标呈上升趋势。

https://cdn.ncbi.nlm.nih.gov/pmc/blobs/2c8b/4363896/714d8c14d887/pone.0119503.g001.jpg

文献AI研究员

20分钟写一篇综述,助力文献阅读效率提升50倍。

立即体验

用中文搜PubMed

大模型驱动的PubMed中文搜索引擎

马上搜索

文档翻译

学术文献翻译模型,支持多种主流文档格式。

立即体验