Suppr超能文献

大型强子对撞机第一轮运行后的CMSSM和NUHM1。

The CMSSM and NUHM1 after LHC Run 1.

作者信息

Buchmueller O, Cavanaugh R, Roeck A De, Dolan M J, Ellis J R, Flächer H, Heinemeyer S, Isidori G, Marrouche J, Santos D Martínez, Olive K A, Rogerson S, Ronga F J, de Vries K J, Weiglein G

机构信息

High Energy Physics Group, Blackett Laboratory, Imperial College, Prince Consort Road, London, SW7 2AZ UK.

Fermi National Accelerator Laboratory, P.O. Box 500, Batavia, IL 60510 USA ; Physics Department, University of Illinois at Chicago, Chicago, IL 60607-7059 USA.

出版信息

Eur Phys J C Part Fields. 2014;74(6):2922. doi: 10.1140/epjc/s10052-014-2922-3. Epub 2014 Jun 13.

Abstract

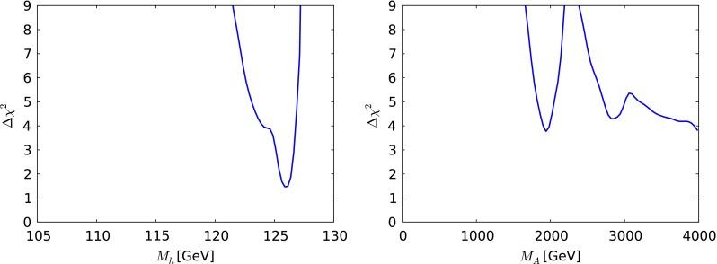
We analyze the impact of data from the full Run 1 of the LHC at 7 and 8 TeV on the CMSSM with [Formula: see text] and [Formula: see text] and the NUHM1 with [Formula: see text], incorporating the constraints imposed by other experiments such as precision electroweak measurements, flavour measurements, the cosmological density of cold dark matter and the direct search for the scattering of dark matter particles in the LUX experiment. We use the following results from the LHC experiments: ATLAS searches for events with [Formula: see text] accompanied by jets with the full 7 and 8 TeV data, the ATLAS and CMS measurements of the mass of the Higgs boson, the CMS searches for heavy neutral Higgs bosons and a combination of the LHCb and CMS measurements of [Formula: see text] and [Formula: see text]. Our results are based on samplings of the parameter spaces of the CMSSM for both [Formula: see text] and [Formula: see text] and of the NUHM1 for [Formula: see text] with 6.8[Formula: see text], 6.2[Formula: see text] and 1.6[Formula: see text] points, respectively, obtained using the MultiNest tool. The impact of the Higgs-mass constraint is assessed using FeynHiggs 2.10.0, which provides an improved prediction for the masses of the MSSM Higgs bosons in the region of heavy squark masses. It yields in general larger values of [Formula: see text] than previous versions of FeynHiggs, reducing the pressure on the CMSSM and NUHM1. We find that the global [Formula: see text] functions for the supersymmetric models vary slowly over most of the parameter spaces allowed by the Higgs-mass and the [Formula: see text] searches, with best-fit values that are comparable to the [Formula: see text] for the best Standard Model fit. We provide 95 % CL lower limits on the masses of various sparticles and assess the prospects for observing them during Run 2 of the LHC.

摘要

我们分析了大型强子对撞机(LHC)在7和8 TeV能量下的完整第一阶段运行数据,对具有[公式:见正文]和[公式:见正文]的约束最小超对称标准模型(CMSSM)以及具有[公式:见正文]的非最小超对称标准模型1(NUHM1)的影响,并纳入了其他实验施加的约束,如精确弱电测量、味测量、冷暗物质的宇宙学密度以及在LUX实验中对暗物质粒子散射的直接搜索。我们使用了LHC实验的以下结果:ATLAS利用完整的7和8 TeV数据搜索伴有喷注的[公式:见正文]事件、ATLAS和CMS对希格斯玻色子质量的测量、CMS对重中性希格斯玻色子的搜索以及LHCb和CMS对[公式:见正文]和[公式:见正文]的测量组合。我们的结果基于对CMSSM(对于[公式:见正文]和[公式:见正文])以及NUHM1(对于[公式:见正文])参数空间的抽样,分别使用MultiNest工具获得了6.8[公式:见正文]、6.2[公式:见正文]和1.6[公式:见正文]个点。使用FeynHiggs 2.10.0评估希格斯质量约束的影响,它为重夸克质量区域内的最小超对称标准模型希格斯玻色子质量提供了改进的预测。与FeynHiggs的先前版本相比,它通常给出更大的[公式:见正文]值,减轻了对CMSSM和NUHM1的压力。我们发现,超对称模型的全局[公式:见正文]函数在希格斯质量和[公式:见正文]搜索允许的大部分参数空间中变化缓慢,最佳拟合值与标准模型最佳拟合的[公式:见正文]相当。我们给出了各种超对称粒子质量的95%置信水平下限,并评估了在LHC第二阶段运行期间观测它们的前景。

https://cdn.ncbi.nlm.nih.gov/pmc/blobs/3e61/4371049/e44a5916de34/10052_2014_2922_Fig1_HTML.jpg

文献AI研究员

20分钟写一篇综述,助力文献阅读效率提升50倍。

立即体验

用中文搜PubMed

大模型驱动的PubMed中文搜索引擎

马上搜索

文档翻译

学术文献翻译模型,支持多种主流文档格式。

立即体验