• 文献检索
  • 文档翻译
  • 深度研究
  • 学术资讯
  • Suppr Zotero 插件Zotero 插件
  • 邀请有礼
  • 套餐&价格
  • 历史记录
应用&插件
Suppr Zotero 插件Zotero 插件浏览器插件Mac 客户端Windows 客户端微信小程序
定价
高级版会员购买积分包购买API积分包
服务
文献检索文档翻译深度研究API 文档MCP 服务
关于我们
关于 Suppr公司介绍联系我们用户协议隐私条款
关注我们

Suppr 超能文献

核心技术专利:CN118964589B侵权必究
粤ICP备2023148730 号-1Suppr @ 2026

文献检索

告别复杂PubMed语法,用中文像聊天一样搜索,搜遍4000万医学文献。AI智能推荐,让科研检索更轻松。

立即免费搜索

文件翻译

保留排版,准确专业,支持PDF/Word/PPT等文件格式,支持 12+语言互译。

免费翻译文档

深度研究

AI帮你快速写综述,25分钟生成高质量综述,智能提取关键信息,辅助科研写作。

立即免费体验

心脏神经激素系统的放射性核素成像

Radionuclide imaging of neurohormonal system of the heart.

作者信息

Chen Xinyu, Werner Rudolf A, Javadi Mehrbod S, Maya Yoshifumi, Decker Michael, Lapa Constantin, Herrmann Ken, Higuchi Takahiro

机构信息

1. Devision of Nuclear Medicine, University Hospital of Wuerzburg, Wuerzburg, Germany. ; 2. Comprehensive Heart Failure Center, University Hospital of Wuerzburg, Wuerzburg, Germany.

3. Devision of Nuclear Medicine, Johns Hopkins Bayview Medical Center, Baltimore, MD, USA.

出版信息

Theranostics. 2015 Feb 15;5(6):545-58. doi: 10.7150/thno.10900. eCollection 2015.

DOI:10.7150/thno.10900
PMID:25825596
原文链接:https://pmc.ncbi.nlm.nih.gov/articles/PMC4377725/
Abstract

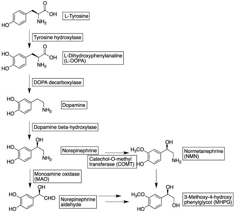
Heart failure is one of the growing causes of death especially in developed countries due to longer life expectancy. Although many pharmacological and instrumental therapeutic approaches have been introduced for prevention and treatment of heart failure, there are still limitations and challenges. Nuclear cardiology has experienced rapid growth in the last few decades, in particular the application of single photon emission computed tomography (SPECT) and positron emission tomography (PET), which allow non-invasive functional assessment of cardiac condition including neurohormonal systems involved in heart failure; its application has dramatically improved the capacity for fundamental research and clinical diagnosis. In this article, we review the current status of applying radionuclide technology in non-invasive imaging of neurohormonal system in the heart, especially focusing on the tracers that are currently available. A short discussion about disadvantages and perspectives is also included.

摘要

心力衰竭是导致死亡的一个日益增长的原因,尤其是在发达国家,这是由于预期寿命延长所致。尽管已经引入了许多药理学和仪器治疗方法来预防和治疗心力衰竭,但仍然存在局限性和挑战。在过去几十年中,核心脏病学经历了快速发展,特别是单光子发射计算机断层扫描(SPECT)和正电子发射断层扫描(PET)的应用,它们能够对心脏状况进行非侵入性功能评估,包括参与心力衰竭的神经激素系统;其应用极大地提高了基础研究和临床诊断的能力。在本文中,我们回顾了放射性核素技术在心脏神经激素系统非侵入性成像中的应用现状,尤其关注目前可用的示踪剂。还包括对缺点和前景的简短讨论。

https://cdn.ncbi.nlm.nih.gov/pmc/blobs/4827/4377725/bfd0d5a86ccc/thnov05p0545g009.jpg
https://cdn.ncbi.nlm.nih.gov/pmc/blobs/4827/4377725/8642211bc260/thnov05p0545g001.jpg
https://cdn.ncbi.nlm.nih.gov/pmc/blobs/4827/4377725/cee21439e639/thnov05p0545g002.jpg
https://cdn.ncbi.nlm.nih.gov/pmc/blobs/4827/4377725/e8ae9261711b/thnov05p0545g003.jpg
https://cdn.ncbi.nlm.nih.gov/pmc/blobs/4827/4377725/6524ad14f686/thnov05p0545g004.jpg
https://cdn.ncbi.nlm.nih.gov/pmc/blobs/4827/4377725/e419311c94a0/thnov05p0545g005.jpg
https://cdn.ncbi.nlm.nih.gov/pmc/blobs/4827/4377725/899954ec29f5/thnov05p0545g006.jpg
https://cdn.ncbi.nlm.nih.gov/pmc/blobs/4827/4377725/8b610ea4e13c/thnov05p0545g007.jpg
https://cdn.ncbi.nlm.nih.gov/pmc/blobs/4827/4377725/2fee129bdb38/thnov05p0545g008.jpg
https://cdn.ncbi.nlm.nih.gov/pmc/blobs/4827/4377725/bfd0d5a86ccc/thnov05p0545g009.jpg
https://cdn.ncbi.nlm.nih.gov/pmc/blobs/4827/4377725/8642211bc260/thnov05p0545g001.jpg
https://cdn.ncbi.nlm.nih.gov/pmc/blobs/4827/4377725/cee21439e639/thnov05p0545g002.jpg
https://cdn.ncbi.nlm.nih.gov/pmc/blobs/4827/4377725/e8ae9261711b/thnov05p0545g003.jpg
https://cdn.ncbi.nlm.nih.gov/pmc/blobs/4827/4377725/6524ad14f686/thnov05p0545g004.jpg
https://cdn.ncbi.nlm.nih.gov/pmc/blobs/4827/4377725/e419311c94a0/thnov05p0545g005.jpg
https://cdn.ncbi.nlm.nih.gov/pmc/blobs/4827/4377725/899954ec29f5/thnov05p0545g006.jpg
https://cdn.ncbi.nlm.nih.gov/pmc/blobs/4827/4377725/8b610ea4e13c/thnov05p0545g007.jpg
https://cdn.ncbi.nlm.nih.gov/pmc/blobs/4827/4377725/2fee129bdb38/thnov05p0545g008.jpg
https://cdn.ncbi.nlm.nih.gov/pmc/blobs/4827/4377725/bfd0d5a86ccc/thnov05p0545g009.jpg

相似文献

1
Radionuclide imaging of neurohormonal system of the heart.心脏神经激素系统的放射性核素成像
Theranostics. 2015 Feb 15;5(6):545-58. doi: 10.7150/thno.10900. eCollection 2015.
2
New horizons in cardiac innervation imaging: introduction of novel F-labeled PET tracers.心脏神经支配成像的新视野:新型 F 标记 PET 示踪剂的介绍。
Eur J Nucl Med Mol Imaging. 2017 Dec;44(13):2302-2309. doi: 10.1007/s00259-017-3828-8. Epub 2017 Sep 13.
3
The clinical value of cardiac sympathetic imaging in heart failure.心脏交感神经成像在心力衰竭中的临床价值。
Clin Physiol Funct Imaging. 2014 May;34(3):178-82. doi: 10.1111/cpf.12091. Epub 2013 Oct 21.
4
Emerging role of nuclear cardiology in heart failure.核素心脏病学在心力衰竭中的新作用。
Q J Nucl Med Mol Imaging. 2010 Apr;54(2):201-12.
5
An electrophysiologist perspective on risk stratification in heart failure: can better understanding of the condition of the cardiac sympathetic nervous system help?电生理学家对心力衰竭风险分层的看法:更好地了解心脏交感神经系统的状况是否有所帮助?
J Nucl Med. 2015 Jun;56 Suppl 4:59S-64S. doi: 10.2967/jnumed.114.148452.
6
123I-MIBG SPECT for Evaluation of Patients with Heart Failure.123I-MIBG SPECT 用于心力衰竭患者评估。
J Nucl Med. 2015 Jun;56 Suppl 4:25S-30S. doi: 10.2967/jnumed.115.157503.
7
Quantitative 123I-MIBG SPECT/CT assessment of cardiac sympathetic innervation--a new diagnostic tool for heart failure.123I-间碘苄胍心肌交感神经支配的定量单光子发射计算机断层扫描/计算机断层扫描评估——一种心力衰竭的新型诊断工具
Int J Cardiol. 2013 Sep 30;168(2):1556-8. doi: 10.1016/j.ijcard.2012.12.077. Epub 2013 Jan 17.
8
Usefulness of Cardiac Sympathetic Nerve Imaging Using (123)Iodine-Metaiodobenzylguanidine Scintigraphy for Predicting Sudden Cardiac Death in Patients With Heart Failure.使用(123)碘-间碘苄胍闪烁显像术进行心脏交感神经成像对预测心力衰竭患者心源性猝死的价值
Int Heart J. 2016;57(2):140-4. doi: 10.1536/ihj.15-508. Epub 2016 Mar 11.
9
[Progress in nuclear cardiology: new imaging beyond perfusion and function].[核心脏病学进展:灌注与功能之外的新成像技术]
Nihon Igaku Hoshasen Gakkai Zasshi. 1999 Oct;59(12):656-62.
10
Cardiac sympathetic imaging with mIBG in heart failure.心力衰竭患者的心肌去甲肾上腺素摄取显像(mIBG)。
JACC Cardiovasc Imaging. 2010 Jan;3(1):92-100. doi: 10.1016/j.jcmg.2009.07.014.

引用本文的文献

1
Role of Biosynthesis and Catabolism of Neurotransmitters in Drug Discovery for Anxiety and Depression.神经递质的生物合成和代谢在焦虑和抑郁药物发现中的作用。
Curr Pharm Des. 2024;30(33):2587-2596. doi: 10.2174/0113816128309913240704095334.
2
Protective Effect of Natural Medicinal Plants on Cardiomyocyte Injury in Heart Failure: Targeting the Dysregulation of Mitochondrial Homeostasis and Mitophagy.天然药用植物对心力衰竭中心肌细胞损伤的保护作用:靶向线粒体稳态和自噬失调。
Oxid Med Cell Longev. 2022 Sep 12;2022:3617086. doi: 10.1155/2022/3617086. eCollection 2022.
3
Molecular Imaging-Derived Biomarker of Cardiac Nerve Integrity - Introducing High NET Affinity PET Probe F-AF78.

本文引用的文献

1
In vivo imaging of human acetylcholinesterase density in peripheral organs using 11C-donepezil: dosimetry, biodistribution, and kinetic analyses.使用 11C-多奈哌齐对人外周器官乙酰胆碱酯酶密度进行体内成像:剂量学、生物分布和动力学分析。
J Nucl Med. 2014 Nov;55(11):1818-24. doi: 10.2967/jnumed.114.143859. Epub 2014 Oct 16.
2
Biodistribution and radiation dosimetry of LMI1195: first-in-human study of a novel 18F-labeled tracer for imaging myocardial innervation.LMI1195的生物分布与辐射剂量测定:一种用于心肌神经支配成像的新型18F标记示踪剂的首次人体研究。
J Nucl Med. 2014 Sep;55(9):1445-51. doi: 10.2967/jnumed.114.140137. Epub 2014 Jul 3.
3
分子影像衍生的心脏神经完整性生物标志物——高 NET 亲和力 PET 探针 F-AF78 介绍。
Theranostics. 2022 May 24;12(9):4446-4458. doi: 10.7150/thno.63205. eCollection 2022.
4
Cardiac hybrid imaging: novel tracers for novel targets.心脏混合成像:针对新靶点的新型示踪剂。
J Geriatr Cardiol. 2021 Sep 28;18(9):748-758. doi: 10.11909/j.issn.1671-5411.2021.09.006.
5
Neurohormonal modulation in pulmonary arterial hypertension.肺动脉高压中的神经激素调节。
Eur Respir J. 2021 Oct 28;58(4). doi: 10.1183/13993003.04633-2020. Print 2021 Oct.
6
PET Radiotracers for CNS-Adrenergic Receptors: Developments and Perspectives.用于中枢神经系统肾上腺素能受体的正电子发射断层扫描放射性示踪剂:进展与展望。
Molecules. 2020 Sep 3;25(17):4017. doi: 10.3390/molecules25174017.
7
Ventricular Distribution Pattern of the Novel Sympathetic Nerve PET Radiotracer F-LMI1195 in Rabbit Hearts.新型交感神经 PET 放射性示踪剂 F-LMI1195 在兔心中的心室分布模式。
Sci Rep. 2019 Nov 19;9(1):17026. doi: 10.1038/s41598-019-53596-2.
8
Less Exploited GPCRs in Precision Medicine: Targets for Molecular Imaging and Theranostics.精准医学中利用较少的 G 蛋白偶联受体:分子成像和治疗诊断的靶点。
Molecules. 2018 Dec 23;24(1):49. doi: 10.3390/molecules24010049.
9
Novel F-Labeled PET Imaging Agent FV45 Targeting the Renin-Angiotensin System.靶向肾素-血管紧张素系统的新型F标记PET显像剂FV45
ACS Omega. 2018 Sep 30;3(9):10460-10470. doi: 10.1021/acsomega.8b01885. Epub 2018 Sep 4.
10
SPECT vs. PET in cardiac innervation imaging: clash of the titans.心脏神经支配成像中的单光子发射计算机断层扫描(SPECT)与正电子发射断层扫描(PET):巨头之争。
Clin Transl Imaging. 2018;6(4):293-303. doi: 10.1007/s40336-018-0289-4. Epub 2018 Jul 3.
Renin-angiotensin system phenotyping as a guidance toward personalized medicine for ACE inhibitors: can the response to ACE inhibition be predicted on the basis of plasma renin or ACE?
肾素-血管紧张素系统表型分析作为血管紧张素转换酶(ACE)抑制剂个体化药物治疗的指导:能否根据血浆肾素或ACE来预测对ACE抑制的反应?
Cardiovasc Drugs Ther. 2014 Aug;28(4):335-45. doi: 10.1007/s10557-014-6537-6.
4
Endothelin ETA receptor antagonism in cardiovascular disease.内皮素 ETA 受体拮抗剂在心血管疾病中的应用。
Eur J Pharmacol. 2014 Aug 15;737:210-3. doi: 10.1016/j.ejphar.2014.05.046. Epub 2014 Jun 2.
5
Cardiac radionuclide imaging to assess patients with heart failure.心脏放射性核素显像评估心力衰竭患者。
Semin Nucl Med. 2014 Jul;44(4):294-313. doi: 10.1053/j.semnuclmed.2014.04.005.
6
4-[18F]Fluoro-m-hydroxyphenethylguanidine: a radiopharmaceutical for quantifying regional cardiac sympathetic nerve density with positron emission tomography.4-[18F]氟-间羟苯乙胺:一种正电子发射断层扫描用放射性药物,可定量评估区域性心脏交感神经密度。
J Med Chem. 2013 Sep 26;56(18):7312-23. doi: 10.1021/jm400770g. Epub 2013 Sep 5.
7
Pharmacological interference with 123I-metaiodobenzylguanidine: a limitation to developing cardiac innervation imaging in clinical practice?药物干预 123I-间碘苄胍:对临床心脏自主神经显像发展的限制?
Eur Rev Med Pharmacol Sci. 2013 May;17(10):1326-33.
8
Assessment of the 18F-labeled PET tracer LMI1195 for imaging norepinephrine handling in rat hearts.评估 18F 标记的 PET 示踪剂 LMI1195 用于大鼠心脏去甲肾上腺素处理的成像。
J Nucl Med. 2013 Jul;54(7):1142-6. doi: 10.2967/jnumed.112.104232. Epub 2013 May 13.
9
Test-retest repeatability of quantitative cardiac 11C-meta-hydroxyephedrine measurements in rats by small animal positron emission tomography.采用小动物正电子发射断层扫描技术测定大鼠心脏 11C-间羟麻黄碱的定量检测的重测信度。
Nucl Med Biol. 2013 Jul;40(5):676-81. doi: 10.1016/j.nucmedbio.2013.03.007. Epub 2013 May 8.
10
Cardiac retention of PET neuronal imaging agent LMI1195 in different species: impact of norepinephrine uptake-1 and -2 transporters.不同物种中心脏对 PET 神经示踪剂 LMI1195 的滞留:去甲肾上腺素摄取-1 和 -2 转运体的影响。
Nucl Med Biol. 2013 Jul;40(5):682-8. doi: 10.1016/j.nucmedbio.2013.03.003. Epub 2013 Apr 17.