Suppr超能文献

多模态成像预测晚期结直肠癌患者对全身治疗的反应

Multimodality imaging to predict response to systemic treatment in patients with advanced colorectal cancer.

作者信息

Heijmen Linda, ter Voert Edwin E G W, Oyen Wim J G, Punt Cornelis J A, van Spronsen Dick Johan, Heerschap Arend, de Geus-Oei Lioe-Fee, van Laarhoven Hanneke W M

机构信息

Department of Medical Oncology, Radboud University Medical Center, Nijmegen, the Netherlands; Department of Radiology and Nuclear Medicine, Radboud University Medical Center, Nijmegen, the Netherlands.

Department of Radiology and Nuclear Medicine, Radboud University Medical Center, Nijmegen, the Netherlands.

出版信息

PLoS One. 2015 Apr 1;10(4):e0120823. doi: 10.1371/journal.pone.0120823. eCollection 2015.

Abstract

AIM

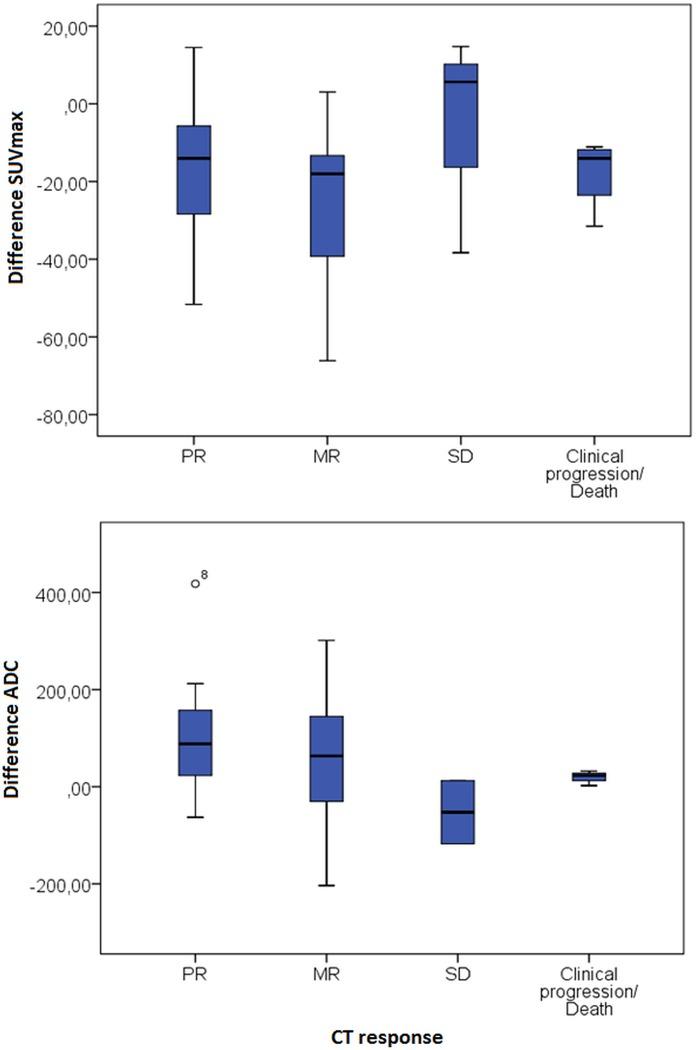
Aim of this study was to investigate the potential of 18F-FDG PET, diffusion weighted imaging (DWI) and susceptibility-weighted (T2*) MRI to predict response to systemic treatment in patients with colorectal liver metastases. The predictive values of pretreatment measurements and of early changes one week after start of therapy, were evaluated.

METHODS

Imaging was performed prior to and one week after start of first line chemotherapy in 39 patients with colorectal liver metastases. 18F-FDG PET scans were performed on a PET/CT scanner and DWI and T2* were performed on a 1.5T MR scanner. The maximum standardized uptake values (SUV), total lesion glycolysis (TLG), apparent diffusion coefficient (ADC) and T2* value were assessed in the same lesions. Up to 5 liver metastases per patient were analyzed. Outcome measures were progression free survival (PFS), overall survival (OS) and size response.

RESULTS

Pretreatment, high SUVmax, high TLG, low ADC and high T2* were associated with a shorter OS. Low pretreatment ADC value was associated with shorter PFS. After 1 week a significant drop in SUVmax and rise in ADC were observed. The drop in SUV was correlated with the rise in ADC (r=-0.58, p=0.002). Neither change in ADC nor in SUV was predictive of PFS or OS. T2* did not significantly change after start of treatment.

CONCLUSION

Pretreatment SUVmax, TLG, ADC, and T2* values in colorectal liver metastases are predictive of patient outcome. Despite sensitivity of DWI and 18F-FDG PET for early treatment effects, change in these parameters was not predictive of long term outcome.

摘要

目的

本研究旨在探讨18F-FDG PET、扩散加权成像(DWI)和磁敏感加权(T2*)MRI预测结直肠癌肝转移患者全身治疗反应的潜力。评估治疗前测量值及治疗开始一周后早期变化的预测价值。

方法

对39例结直肠癌肝转移患者在一线化疗开始前及开始后一周进行成像检查。18F-FDG PET扫描在PET/CT扫描仪上进行,DWI和T2成像在1.5T MR扫描仪上进行。在相同病灶中评估最大标准化摄取值(SUV)、总病灶糖酵解(TLG)、表观扩散系数(ADC)和T2值。每位患者最多分析5个肝转移灶。观察指标为无进展生存期(PFS)、总生存期(OS)和大小反应。

结果

治疗前,高SUVmax、高TLG、低ADC和高T2与较短的OS相关。治疗前低ADC值与较短的PFS相关。治疗1周后,观察到SUVmax显著下降和ADC升高。SUV的下降与ADC的升高相关(r=-0.58,p=0.002)。ADC和SUV的变化均不能预测PFS或OS。治疗开始后T2无显著变化。

结论

结直肠癌肝转移灶治疗前的SUVmax、TLG、ADC和T2*值可预测患者预后。尽管DWI和18F-FDG PET对早期治疗效果敏感,但这些参数的变化不能预测长期预后。

https://cdn.ncbi.nlm.nih.gov/pmc/blobs/b05b/4382283/b1c4733dc576/pone.0120823.g001.jpg

文献AI研究员

20分钟写一篇综述,助力文献阅读效率提升50倍。

立即体验

用中文搜PubMed

大模型驱动的PubMed中文搜索引擎

马上搜索

文档翻译

学术文献翻译模型,支持多种主流文档格式。

立即体验