Suppr超能文献

近视准分子激光手术后,临床病史法、Orbscan IIz和Pentacam在估计角膜屈光力方面的一致性。

Agreement between clinical history method, Orbscan IIz, and Pentacam in estimating corneal power after myopic excimer laser surgery.

作者信息

Lekhanont Kaevalin, Nonpassopon Manachai, Wannarosapark Khemruetai, Chuckpaiwong Varintorn

机构信息

Department of Ophthalmology, Ramathibodi Hospital, Mahidol University, Bangkok, Thailand.

出版信息

PLoS One. 2015 Apr 8;10(4):e0123729. doi: 10.1371/journal.pone.0123729. eCollection 2015.

Abstract

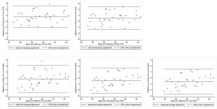
The purpose of this study was to investigate the agreement between the clinical history method (CHM), Orbscan IIz, and Pentacam in estimating corneal power after myopic excimer laser surgery. Fifty five patients who had myopic LASIK/PRK were recruited into this study. One eye of each patient was randomly selected by a computer-generated process. At 6 months after surgery, postoperative corneal power was calculated from the CHM, Orbscan IIz total optical power at the 3.0 and 4.0 mm zones, and Pentacam equivalent keratometric readings (EKRs) at 3.0, 4.0, and 4.5 mm. Statistical analyses included multilevel models, Pearson's correlation test, and Bland-Altman plots. The Orbscan IIz 3.0-mm and 4.0 mm total optical power, and Pentacam 3.0-mm, 4.0-mm, and 4.5-mm EKR values had strong linear positive correlations with the CHM values (r = 0.90-0.94, P = <0.001, for all comparisons, Pearson's correlation). However, only Pentacam 3.0-mm EKR was not statistically different from CHM (P = 0.17, multilevel models). The mean 3.0- and 4.0-mm total optical powers of the Orbscan IIz were significantly flatter than the values derived from CHM, while the average EKRs of the Pentacam at 4.0 and 4.5 mm were significantly steeper. The mean Orbscan IIz 3.0-mm total optical power was the lowest keratometric reading compared to the other 5 values. Large 95% LoA was observed between each of these values, particularly EKRs, and those obtained with the CHM. The width of the 95% LoA was narrowest for Orbscan IIz 3.0-mm total optical power. In conclusion, the keratometric values extracted from these 3 methods were disparate, either because of a statistically significant difference in the mean values or moderate agreement between them. Therefore, they are not considered equivalent and cannot be used interchangeably.

摘要

本研究的目的是调查临床病史法(CHM)、Orbscan IIz和Pentacam在估计近视准分子激光手术后角膜屈光力方面的一致性。55例行近视LASIK/PRK手术的患者被纳入本研究。通过计算机生成的程序随机选择每位患者的一只眼睛。术后6个月,根据CHM、Orbscan IIz在3.0和4.0mm区域的总屈光力以及Pentacam在3.0、4.0和4.5mm处的等效角膜曲率读数(EKR)计算术后角膜屈光力。统计分析包括多水平模型、Pearson相关检验和Bland-Altman图。Orbscan IIz 3.0mm和4.0mm的总屈光力以及Pentacam 3.0mm、4.0mm和4.5mm的EKR值与CHM值呈强线性正相关(r = 0.90 - 0.94,所有比较的P = <0.001,Pearson相关)。然而,只有Pentacam 3.0mm的EKR与CHM在统计学上无差异(P = 0.17,多水平模型)。Orbscan IIz 3.0mm和4.0mm的平均总屈光力明显比CHM得出的值更平坦,而Pentacam在4.0和4.5mm处的平均EKR明显更陡峭。与其他5个值相比,Orbscan IIz 3.0mm的平均总屈光力是最低的角膜曲率读数。在这些值中的每一个与CHM获得的值之间观察到较大的95%一致性界限(LoA),尤其是EKR。95% LoA的宽度对于Orbscan IIz 3.0mm的总屈光力最窄。总之,从这三种方法提取的角膜曲率值存在差异,要么是因为平均值有统计学显著差异,要么是它们之间的一致性一般。因此,它们不被认为是等效的,不能互换使用。

https://cdn.ncbi.nlm.nih.gov/pmc/blobs/00e4/4390196/ec8af30b538c/pone.0123729.g001.jpg

相似文献

1
Agreement between clinical history method, Orbscan IIz, and Pentacam in estimating corneal power after myopic excimer laser surgery.
PLoS One. 2015 Apr 8;10(4):e0123729. doi: 10.1371/journal.pone.0123729. eCollection 2015.
2
Comparison of keratometry measurements using the Pentacam HR, the Orbscan IIz, and the TMS-4 topographer.
Ophthalmic Physiol Opt. 2012 Nov;32(6):539-46. doi: 10.1111/j.1475-1313.2012.00942.x.
3
Evaluation of Equivalent Keratometry Readings Obtained by Pentacam HR (High Resolution).
PLoS One. 2016 Mar 7;11(3):e0150121. doi: 10.1371/journal.pone.0150121. eCollection 2016.
4
Comparison of Pentacam and Orbscan IIz on posterior curvature topography measurements in keratoconus eyes.
Ophthalmology. 2006 Sep;113(9):1629-32. doi: 10.1016/j.ophtha.2006.03.046.
5
Corneal changes after laser refractive surgery for myopia: comparison of Orbscan II and Pentacam findings.
J Cataract Refract Surg. 2007 May;33(5):841-7. doi: 10.1016/j.jcrs.2007.01.019.
6
Myopic Laser Corneal Refractive Surgery Reduces Interdevice Agreement in the Measurement of Anterior Corneal Curvature.
Eye Contact Lens. 2018 Sep;44 Suppl 1:S151-S157. doi: 10.1097/ICL.0000000000000364.
8
Determining corneal power using Pentacam after myopic photorefractive keratectomy.
Clin Exp Ophthalmol. 2010 May;38(4):341-5. doi: 10.1111/j.1442-9071.2010.02286.x. Epub 2010 Mar 15.
10

引用本文的文献

本文引用的文献

3
Intraocular lens prediction accuracy after corneal refractive surgery using K values from 3 devices.
J Cataract Refract Surg. 2013 Nov;39(11):1640-6. doi: 10.1016/j.jcrs.2013.04.045.
4
Updated practical intraocular lens power calculation after refractive surgery.
Curr Opin Ophthalmol. 2013 Jul;24(4):275-80. doi: 10.1097/ICU.0b013e3283622955.
6
Scheimpflug analysis of corneal power changes after myopic excimer laser surgery.
J Cataract Refract Surg. 2013 Apr;39(4):605-10. doi: 10.1016/j.jcrs.2012.12.031. Epub 2013 Mar 7.
9
Total corneal power estimation: ray tracing method versus gaussian optics formula.
Invest Ophthalmol Vis Sci. 2011 Mar 25;52(3):1716-22. doi: 10.1167/iovs.09-4982.

文献AI研究员

20分钟写一篇综述,助力文献阅读效率提升50倍。

立即体验

用中文搜PubMed

大模型驱动的PubMed中文搜索引擎

马上搜索

文档翻译

学术文献翻译模型,支持多种主流文档格式。

立即体验