Suppr超能文献

一种新型锝-99m标记的维生素B12衍生物在体外及实验性异物感染模型中靶向大肠杆菌和金黄色葡萄球菌的评估

Evaluation of a Novel Tc-99m Labelled Vitamin B12 Derivative for Targeting Escherichia coli and Staphylococcus aureus In Vitro and in an Experimental Foreign-Body Infection Model.

作者信息

Baldoni Daniela, Waibel Robert, Bläuenstein Peter, Galli Filippo, Iodice Violetta, Signore Alberto, Schibli Roger, Trampuz Andrej

机构信息

Infectious Diseases Research Laboratory, Department of Biomedicine, University Hospital, Basel, Switzerland.

Center for Radiopharmaceutical Science, Paul Scherrer Institute, Villigen PSI, Switzerland.

出版信息

Mol Imaging Biol. 2015 Dec;17(6):829-37. doi: 10.1007/s11307-015-0832-x.

Abstract

PURPOSE

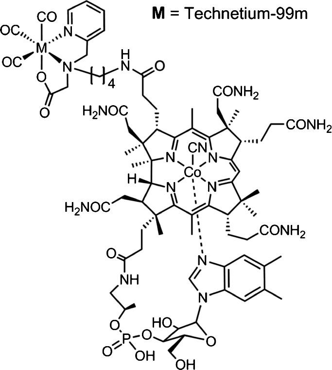
Vitamin B12 (cyanocobalamin, Cbl) is accumulated by rapidly replicating prokaryotic and eukaryotic cells. We investigated the potential of a Tc-99m labelled Cbl derivative ([(99m)Tc]PAMA(4)-Cbl) for targeting infections caused by Escherichia coli and Staphylococcus aureus. In vitro binding assays were followed by biodistribution studies in a mouse model of foreign body infection.

PROCEDURES

E. coli (ATCC 25922) and S. aureus (ATCC 43335) were used as test strains. [(57)Co]Cbl, [(67)Ga]citrate and [(99m)Tc]DTPA served as reference compounds. The in vitro competitive binding of [(57)Co]Cbl or [(99m)Tc]PAMA(4)-Cbl, and unlabeled Cbl, to viable or killed bacteria, was evaluated at 37 and 4 °C. A cage mouse model of infection was used for biodistribution of intravenous [(57)Co]Cbl and [(99m)Tc]PAMA(4)-Cbl in cage and dissected tissues of infected and non-infected mice.

RESULTS

Maximum binding (mean ± SD) of [(57)Co]Cbl to viable E. coli was 81.7 ± 2.6 % and to S. aureus 34.0 ± 6.7 %, at 37 °C; no binding occurred to heat-killed bacteria. Binding to both test strains was displaced by 100- to 1000-fold excess of unlabeled Cbl. The in vitro binding of [(99m)Tc]PAMA(4)-Cbl was 100-fold and 3-fold lower than the one of [(57)Co]Cbl for E. coli and S. aureus, respectively. In vivo, [(99m)Tc]PAMA(4)-Cbl showed peak percentage of injected dose (% ID) values between 1.33 and 2.3, at 30 min post-injection (p.i.). Significantly higher retention occurred in cage fluids infected with S. aureus at 4 h and with E. coli at 8 h p.i. than in non-infected animals. Accumulation into infected cages was also higher than the one of [(99m)Tc]DTPA, which showed similar biodistribution in infected and sterile mice. [(57)Co]Cbl gradually accumulated in cages with peaks % ID between 3.58 and 4.83 % achieved from 24 to 48 h. Discrimination for infection occurred only in E. coli-infected mice, at 72 h p.i. [(67)Ga]citrate, which showed a gradual accumulation into cage fluids during 12 h, was discriminative for infection from 48 to 72 h p.i. (P < 0.05).

CONCLUSION

Cbl displayed rapid and specific in vitro binding to test strains. [(99m)Tc]PAMA(4)-Cbl was rapidly cleared from most tissues and discriminated between sterile and infected cages, being a promising candidate for imaging infections in humans.

摘要

目的

维生素B12(氰钴胺,Cbl)可被快速复制的原核细胞和真核细胞摄取。我们研究了99mTc标记的Cbl衍生物([(99m)Tc]PAMA(4)-Cbl)靶向大肠杆菌和金黄色葡萄球菌感染的潜力。体外结合试验之后,在异物感染小鼠模型中进行了生物分布研究。

程序

使用大肠杆菌(ATCC 25922)和金黄色葡萄球菌(ATCC 43335)作为测试菌株。[(57)Co]Cbl、[(67)Ga]柠檬酸盐和[(99m)Tc]二乙三胺五乙酸(DTPA)用作参考化合物。在37℃和4℃下评估[(57)Co]Cbl或[(99m)Tc]PAMA(4)-Cbl与未标记的Cbl对活的或热灭活细菌的体外竞争性结合。使用笼养小鼠感染模型,研究静脉注射[(57)Co]Cbl和[(99m)Tc]PAMA(4)-Cbl在感染和未感染小鼠的笼养及解剖组织中的生物分布。

结果

[(57)Co]Cbl在37℃时与活的大肠杆菌的最大结合(均值±标准差)为81.7±2.6%,与金黄色葡萄球菌的最大结合为34.0±6.7%;与热灭活细菌无结合。100至1000倍过量的未标记Cbl可取代与两种测试菌株的结合。[(99m)Tc]PAMA(4)-Cbl对大肠杆菌和金黄色葡萄球菌的体外结合分别比[(57)Co]Cbl低100倍和3倍。在体内,[(99m)Tc]PAMA(4)-Cbl在注射后30分钟的注射剂量百分比(%ID)峰值在1.33至2.3之间。在感染后4小时感染金黄色葡萄球菌的笼养液以及感染后8小时感染大肠杆菌的笼养液中的滞留量显著高于未感染动物。在感染笼中的蓄积量也高于[(99m)Tc]DTPA,[(99m)Tc]DTPA在感染和无菌小鼠中的生物分布相似。[(57)Co]Cbl在笼养液中逐渐蓄积,在24至48小时达到3.58至4.83%的%ID峰值。仅在感染后72小时的大肠杆菌感染小鼠中出现感染区分。[(67)Ga]柠檬酸盐在12小时内逐渐蓄积到笼养液中,在感染后48至72小时具有感染区分性(P<0.05)。

结论

Cbl在体外对测试菌株显示出快速且特异性的结合。[(99m)Tc]PAMA(4)-Cbl能从大多数组织中快速清除,并能区分无菌和感染的笼养环境,是用于人体感染成像的有前景的候选物。

https://cdn.ncbi.nlm.nih.gov/pmc/blobs/d52e/4641156/d0808ba67381/11307_2015_832_Fig1_HTML.jpg

文献检索

告别复杂PubMed语法,用中文像聊天一样搜索,搜遍4000万医学文献。AI智能推荐,让科研检索更轻松。

立即免费搜索

文件翻译

保留排版,准确专业,支持PDF/Word/PPT等文件格式,支持 12+语言互译。

免费翻译文档

深度研究

AI帮你快速写综述,25分钟生成高质量综述,智能提取关键信息,辅助科研写作。

立即免费体验