Suppr超能文献

多个研究系统中水稻SNP群体在干旱条件下与根系生长及产量相关的环境响应和基因组区域

Environmental Response and Genomic Regions Correlated with Rice Root Growth and Yield under Drought in the OryzaSNP Panel across Multiple Study Systems.

作者信息

Wade Len J, Bartolome Violeta, Mauleon Ramil, Vasant Vivek Deshmuck, Prabakar Sumeet Mankar, Chelliah Muthukumar, Kameoka Emi, Nagendra K, Reddy K R Kamalnath, Varma C Mohan Kumar, Patil Kalmeshwar Gouda, Shrestha Roshi, Al-Shugeairy Zaniab, Al-Ogaidi Faez, Munasinghe Mayuri, Gowda Veeresh, Semon Mande, Suralta Roel R, Shenoy Vinay, Vadez Vincent, Serraj Rachid, Shashidhar H E, Yamauchi Akira, Babu Ranganathan Chandra, Price Adam, McNally Kenneth L, Henry Amelia

机构信息

Charles Sturt University, Graham Centre for Agricultural Innovation, Locked Bag 588, Wagga Wagga, New South Wales, 2678, Australia.

International Rice Research Institute (IRRI), DAPO Box 7777, Metro Manila, 1301, Philippines.

出版信息

PLoS One. 2015 Apr 24;10(4):e0124127. doi: 10.1371/journal.pone.0124127. eCollection 2015.

Abstract

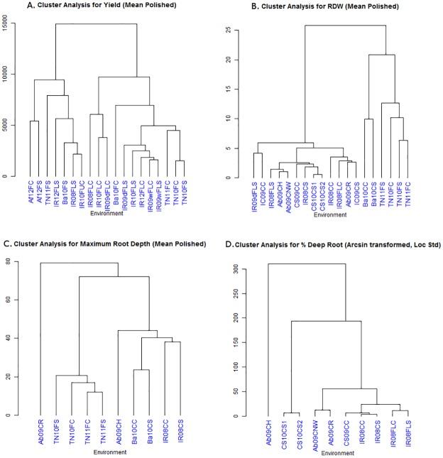
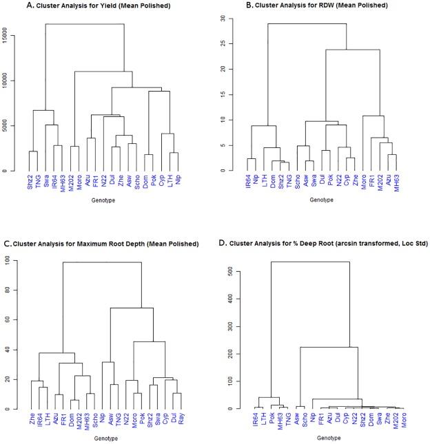
The rapid progress in rice genotyping must be matched by advances in phenotyping. A better understanding of genetic variation in rice for drought response, root traits, and practical methods for studying them are needed. In this study, the OryzaSNP set (20 diverse genotypes that have been genotyped for SNP markers) was phenotyped in a range of field and container studies to study the diversity of rice root growth and response to drought. Of the root traits measured across more than 20 root experiments, root dry weight showed the most stable genotypic performance across studies. The environment (E) component had the strongest effect on yield and root traits. We identified genomic regions correlated with root dry weight, percent deep roots, maximum root depth, and grain yield based on a correlation analysis with the phenotypes and aus, indica, or japonica introgression regions using the SNP data. Two genomic regions were identified as hot spots in which root traits and grain yield were co-located; on chromosome 1 (39.7-40.7 Mb) and on chromosome 8 (20.3-21.9 Mb). Across experiments, the soil type/ growth medium showed more correlations with plant growth than the container dimensions. Although the correlations among studies and genetic co-location of root traits from a range of study systems points to their potential utility to represent responses in field studies, the best correlations were observed when the two setups had some similar properties. Due to the co-location of the identified genomic regions (from introgression block analysis) with QTL for a number of previously reported root and drought traits, these regions are good candidates for detailed characterization to contribute to understanding rice improvement for response to drought. This study also highlights the utility of characterizing a small set of 20 genotypes for root growth, drought response, and related genomic regions.

摘要

水稻基因分型的快速进展必须与表型分析的进步相匹配。需要更好地了解水稻在干旱响应、根系性状方面的遗传变异以及研究这些性状的实用方法。在本研究中,对水稻SNP集(20个已针对SNP标记进行基因分型的不同基因型)在一系列田间和容器试验中进行了表型分析,以研究水稻根系生长和对干旱响应的多样性。在20多个根系试验中测量的根系性状中,根干重在各项研究中表现出最稳定的基因型表现。环境(E)成分对产量和根系性状的影响最大。我们基于使用SNP数据将表型与奥氏、籼稻或粳稻渗入区域进行相关性分析,确定了与根干重、深根百分比、最大根深度和籽粒产量相关的基因组区域。确定了两个基因组区域为热点区域,其中根系性状和籽粒产量共定位;位于第1号染色体(39.7 - 40.7 Mb)和第8号染色体(20.3 - 21.9 Mb)上。在各项试验中,土壤类型/生长介质与植物生长的相关性比容器尺寸更高。尽管一系列研究系统中根系性状的研究间相关性以及基因共定位表明它们在田间研究中代表响应具有潜在效用,但当两种设置具有一些相似特性时,观察到的相关性最佳。由于所确定的基因组区域(来自渗入块分析)与许多先前报道的根系和干旱性状的QTL共定位,这些区域是进行详细表征以有助于理解水稻干旱响应改良的良好候选区域。本研究还强调了对一小套20个基因型进行根系生长、干旱响应及相关基因组区域表征的效用。

https://cdn.ncbi.nlm.nih.gov/pmc/blobs/6f7c/4409324/6f74af5e7eee/pone.0124127.g001.jpg

文献检索

告别复杂PubMed语法,用中文像聊天一样搜索,搜遍4000万医学文献。AI智能推荐,让科研检索更轻松。

立即免费搜索

文件翻译

保留排版,准确专业,支持PDF/Word/PPT等文件格式,支持 12+语言互译。

免费翻译文档

深度研究

AI帮你快速写综述,25分钟生成高质量综述,智能提取关键信息,辅助科研写作。

立即免费体验