Hu Na, Cong Bin, Gao Tao, Chen Yu, Shen Junyi, Li Shujin, Ma Chunling
Department of Forensic Medicine, Hebei Key Laboratory of Forensic Medicine, Hebei Medical University, Shijiazhuang, Hebei 050017, P.R. China.
Department of Statistics, Institute of Statistics, Renmin University of China, Beijing 100872, P.R. China.
Mol Med Rep. 2015 Aug;12(2):2431-42. doi: 10.3892/mmr.2015.3710. Epub 2015 Apr 30.
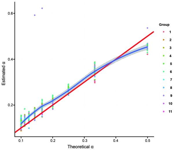
An experimental model of male-mixed DNA (n=297) was constructed according to the mixed DNA construction principle. This comprised the use of the Applied Biosystems (ABI) 7500 quantitative polymerase chain reaction system, with scientific validation of mixture proportion (Mx; root-mean-square error ≤ 0.02). Statistical analysis was performed on locus separation accuracy using mixsep, a DNA mixture separation R-package, and the analytical performance of mixsep was assessed by examining the data distribution pattern of different mixed gradients, short tandem repeat (STR) loci and mixed DNA types. The results showed that locus separation accuracy had a negative linear correlation with the mixed gradient (R(2)=-0.7121). With increasing mixed gradient imbalance, locus separation accuracy first increased and then decreased, with the highest value detected at a gradient of 1:3 (≥ 90%). The mixed gradient, which is the theoretical Mx, was one of the primary factors that influenced the success of mixed DNA analysis. Among the 16 STR loci detected by Identifiler®, the separation accuracy was relatively high (>88%) for loci D5S818, D8S1179 and FGA, whereas the median separation accuracy value was lowest for the D7S820 locus. STR loci with relatively large numbers of allelic drop-out (ADO; >15) were all located in the yellow and red channels, including loci D18S51, D19S433, FGA, TPOX and vWA. These five loci featured low allele peak heights, which was consistent with the low sensitivity of the ABI 3130xl Genetic Analyzer to yellow and red fluorescence. The locus separation accuracy of the mixsep package was substantially different with and without the inclusion of ADO loci; inclusion of ADO significantly reduced the analytical performance of the mixsep package, which was consistent with the lack of an ADO functional module in this software. The present study demonstrated that the mixsep software had a number of advantages and was recommended for analysis of mixed DNA. This software was easy to operate and produced understandable results with a degree of controllability.
根据混合DNA构建原理构建了男性混合DNA实验模型(n = 297)。这包括使用Applied Biosystems(ABI)7500定量聚合酶链反应系统,并对混合比例(Mx;均方根误差≤0.02)进行科学验证。使用DNA混合物分离R包mixsep对基因座分离准确性进行统计分析,并通过检查不同混合梯度、短串联重复序列(STR)基因座和混合DNA类型的数据分布模式来评估mixsep的分析性能。结果表明,基因座分离准确性与混合梯度呈负线性相关(R(2)= -0.7121)。随着混合梯度不平衡的增加,基因座分离准确性先升高后降低,在1:3的梯度下检测到最高值(≥90%)。作为理论Mx的混合梯度是影响混合DNA分析成功的主要因素之一。在Identifiler®检测的16个STR基因座中,D5S818、D8S1179和FGA基因座的分离准确性相对较高(>88%),而D7S820基因座的分离准确性中位数最低。等位基因脱失(ADO;>15)数量相对较多的STR基因座均位于黄色和红色通道,包括D18S51、D19S433、FGA、TPOX和vWA基因座。这五个基因座的等位基因峰高度较低,这与ABI 3130xl基因分析仪对黄色和红色荧光的低灵敏度一致。包含和不包含ADO基因座时,mixsep软件包的基因座分离准确性有很大差异;包含ADO显著降低了mixsep软件包的分析性能,这与该软件缺乏ADO功能模块一致。本研究表明,mixsep软件有许多优点,推荐用于混合DNA分析。该软件易于操作,产生的结果易于理解且具有一定的可控性。