Suppr超能文献

IgG4相关疾病患者外周血单个核细胞中固有免疫相关基因表达降低。

Decreased Expression of Innate Immunity-Related Genes in Peripheral Blood Mononuclear Cells from Patients with IgG4-Related Disease.

作者信息

Nakajima Akio, Masaki Yasufumi, Nakamura Takuji, Kawanami Takafumi, Ishigaki Yasuhito, Takegami Tsutomu, Kawano Mitsuhiro, Yamada Kazunori, Tsukamoto Norifumi, Matsui Shoko, Saeki Takako, Okazaki Kazuichi, Kamisawa Terumi, Miyashita Taiichiro, Yakushijin Yoshihiro, Fujikawa Keita, Yamamoto Motohisa, Hamano Hideaki, Origuchi Tomoki, Hirata Shintaro, Tsuboi Hiroto, Sumida Takayuki, Morimoto Hisanori, Sato Tomomi, Iwao Haruka, Miki Miyuki, Sakai Tomoyuki, Fujita Yoshimasa, Tanaka Masao, Fukushima Toshihiro, Okazaki Toshiro, Umehara Hisanori

机构信息

Hematology and Immunology, Kanazawa Medical University, Uchinada, Ishikawa 920-0293, Japan.

Medical Research Institute, Kanazawa Medical University, Uchinada, Ishikawa 920-0293, Japan.

出版信息

PLoS One. 2015 May 14;10(5):e0126582. doi: 10.1371/journal.pone.0126582. eCollection 2015.

Abstract

BACKGROUND

IgG4-related disease (IgG4-RD) is a new clinical entity of unknown etiology characterized by elevated serum IgG4 and tissue infiltration by IgG4-positive plasma cells. Although aberrancies in acquired immune system functions, including increases in Th2 and Treg cytokines observed in patients with IgG4-RD, its true etiology remains unclear. To investigate the pathogenesis of IgG4-RD, this study compared the expression of genes related to innate immunity in patients with IgG4-RD and healthy controls.

MATERIALS AND METHODS

Peripheral blood mononuclear cells (PBMCs) were obtained from patients with IgG4-RD before and after steroid therapy and from healthy controls. Total RNA was extracted and DNA microarray analysis was performed in two IgG4-RD patients to screen for genes showing changes in expression. Candidate genes were validated by real-time RT-PCR in 27 patients with IgG4-RD and 13 healthy controls.

RESULTS

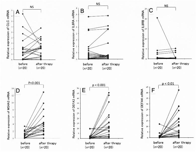
DNA microarray analysis identified 21 genes that showed a greater than 3-fold difference in expression between IgG4-RD patients and healthy controls and 30 genes that showed a greater than 3-fold change in IgG4-RD patients following steroid therapy. Candidate genes related to innate immunity, including those encoding Charcot-Leyden crystal protein (CLC), membrane-spanning 4-domain subfamily A member 3 (MS4A3), defensin alpha (DEFA) 3 and 4, and interleukin-8 receptors (IL8R), were validated by real-time RT-PCR. Expression of all genes was significantly lower in IgG4-RD patients than in healthy controls. Steroid therapy significantly increased the expression of DEFA3, DEFA4 and MS4A3, but had no effect on the expression of CLC, IL8RA and IL8RB.

CONCLUSIONS

The expression of genes related to allergy or innate immunity, including CLC, MS4A3, DEFA3, DEFA4, IL8RA and IL8RB, was lower in PBMCs from patients with IgG4-RD than from healthy controls. Although there is the limitation in the number of patients applied in DNA microarray, impaired expression of genes related to innate immunity may be involved in the pathogenesis of IgG4-RD as well as in abnormalities of acquired immunity.

摘要

背景

IgG4相关疾病(IgG4-RD)是一种病因不明的新临床实体,其特征为血清IgG4升高以及IgG4阳性浆细胞的组织浸润。尽管IgG4-RD患者存在获得性免疫系统功能异常,包括Th2和调节性T细胞(Treg)细胞因子增加,但其真正病因仍不清楚。为了研究IgG4-RD的发病机制,本研究比较了IgG4-RD患者和健康对照中与固有免疫相关基因的表达。

材料与方法

从接受类固醇治疗前后的IgG4-RD患者及健康对照中获取外周血单个核细胞(PBMC)。提取总RNA,并对两名IgG4-RD患者进行DNA微阵列分析,以筛选表达有变化的基因。通过实时逆转录聚合酶链反应(RT-PCR)在27例IgG4-RD患者和13名健康对照中对候选基因进行验证。

结果

DNA微阵列分析确定了21个在IgG4-RD患者和健康对照之间表达差异大于3倍的基因,以及30个在类固醇治疗后IgG4-RD患者中表达变化大于3倍的基因。通过实时RT-PCR验证了与固有免疫相关的候选基因,包括编码嗜酸性粒细胞阳离子蛋白(CLC)、跨膜4结构域A亚家族成员3(MS4A3)、防御素α(DEFA)3和4以及白细胞介素8受体(IL8R)的基因。所有基因在IgG4-RD患者中的表达均显著低于健康对照。类固醇治疗显著增加了DEFA3、DEFA4和MS4A3的表达,但对CLC、IL8RA和IL8RB的表达无影响。

结论

与过敏或固有免疫相关的基因,包括CLC、MS4A3、DEFA3、DEFA4、IL8RA和IL8RB,在IgG4-RD患者PBMC中的表达低于健康对照。尽管DNA微阵列分析所应用的患者数量有限,但固有免疫相关基因表达受损可能参与了IgG4-RD的发病机制以及获得性免疫异常。

https://cdn.ncbi.nlm.nih.gov/pmc/blobs/1079/4431830/864ac5f3e75e/pone.0126582.g001.jpg

文献AI研究员

20分钟写一篇综述,助力文献阅读效率提升50倍。

立即体验

用中文搜PubMed

大模型驱动的PubMed中文搜索引擎

马上搜索

文档翻译

学术文献翻译模型,支持多种主流文档格式。

立即体验