• 文献检索
  • 文档翻译
  • 深度研究
  • 学术资讯
  • Suppr Zotero 插件Zotero 插件
  • 邀请有礼
  • 套餐&价格
  • 历史记录
应用&插件
Suppr Zotero 插件Zotero 插件浏览器插件Mac 客户端Windows 客户端微信小程序
定价
高级版会员购买积分包购买API积分包
服务
文献检索文档翻译深度研究API 文档MCP 服务
关于我们
关于 Suppr公司介绍联系我们用户协议隐私条款
关注我们

Suppr 超能文献

核心技术专利:CN118964589B侵权必究
粤ICP备2023148730 号-1Suppr @ 2026

文献检索

告别复杂PubMed语法,用中文像聊天一样搜索,搜遍4000万医学文献。AI智能推荐,让科研检索更轻松。

立即免费搜索

文件翻译

保留排版,准确专业,支持PDF/Word/PPT等文件格式,支持 12+语言互译。

免费翻译文档

深度研究

AI帮你快速写综述,25分钟生成高质量综述,智能提取关键信息,辅助科研写作。

立即免费体验

动态治疗效果(DTE)曲线揭示了标准癌症疗法和实验性癌症疗法的作用模式。

Dynamic treatment effect (DTE) curves reveal the mode of action for standard and experimental cancer therapies.

作者信息

Choudhury Kingshuk Roy, Keir Stephen T, Ashcraft Kathleen A, Boss Mary-Keara, Dewhirst Mark W

机构信息

Department of Biostatistics and Bioinformatics, Duke University Medical Center, NC, USA.

Preston Robert Tisch Brain Tumor Research Center, Duke University Medical Center, NC, USA.

出版信息

Oncotarget. 2015 Jun 10;6(16):14656-68. doi: 10.18632/oncotarget.4141.

DOI:10.18632/oncotarget.4141
PMID:25986925
原文链接:https://pmc.ncbi.nlm.nih.gov/articles/PMC4546495/
Abstract

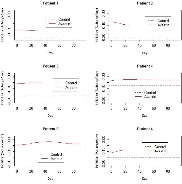
We present a method for estimating the empirical dynamic treatment effect (DTE) curves from tumor growth delay (TGD) studies. This improves on current common methods of TGD analysis, such as T/C ratio and doubling times, by providing a more detailed treatment effect and overcomes their lack of reproducibility. The methodology doesn't presuppose any prior form for the treatment effect dynamics and is shown to give consistent estimates with missing data. The method is illustrated by application to real data from TGD studies involving three types of therapy. Firstly, we demonstrate that radiotherapy induces a sharp peak in inhibition in a FaDu model. The height, duration and timing of the peak increase linearly with radiation dose. Second, we demonstrate that a combination of temozolomide and an experimental therapy in a glioma PDX model yields an effect, similar to an additive version of the DTE curves for the mono-therapies, except that there is a 30 day delay in peak inhibition. In the third study, we consider the DTE of anti-angiogenic therapy in glioma. We show that resulting DTE curves are flat. We discuss how features of the DTE curves should be interpreted and potentially used to improve therapy.

摘要

我们提出了一种从肿瘤生长延迟(TGD)研究中估计经验性动态治疗效果(DTE)曲线的方法。通过提供更详细的治疗效果,该方法改进了当前常用的TGD分析方法,如T/C比值和倍增时间,并克服了它们缺乏可重复性的问题。该方法不预先假定治疗效果动态的任何先验形式,并且在存在缺失数据的情况下也能给出一致的估计。通过应用于涉及三种治疗类型的TGD研究的真实数据来说明该方法。首先,我们证明放疗在FaDu模型中诱导出抑制的尖锐峰值。峰值的高度、持续时间和时间随辐射剂量线性增加。其次,我们证明在胶质瘤PDX模型中替莫唑胺与一种实验性治疗的联合产生的效果,类似于单药治疗DTE曲线的相加版本,只是峰值抑制延迟了30天。在第三个研究中,我们考虑抗血管生成治疗在胶质瘤中的DTE。我们表明所得的DTE曲线是平坦的。我们讨论了DTE曲线的特征应如何解释以及潜在地用于改善治疗。

https://cdn.ncbi.nlm.nih.gov/pmc/blobs/048b/4546495/6d09df3a2ee8/oncotarget-06-14656-g009.jpg
https://cdn.ncbi.nlm.nih.gov/pmc/blobs/048b/4546495/59651ff317c8/oncotarget-06-14656-g001.jpg
https://cdn.ncbi.nlm.nih.gov/pmc/blobs/048b/4546495/910c09b29065/oncotarget-06-14656-g002.jpg
https://cdn.ncbi.nlm.nih.gov/pmc/blobs/048b/4546495/6e3c0b278db1/oncotarget-06-14656-g003.jpg
https://cdn.ncbi.nlm.nih.gov/pmc/blobs/048b/4546495/de922ae7069b/oncotarget-06-14656-g004.jpg
https://cdn.ncbi.nlm.nih.gov/pmc/blobs/048b/4546495/69c1520e0918/oncotarget-06-14656-g005.jpg
https://cdn.ncbi.nlm.nih.gov/pmc/blobs/048b/4546495/b40b010826ed/oncotarget-06-14656-g006.jpg
https://cdn.ncbi.nlm.nih.gov/pmc/blobs/048b/4546495/b7e62fa9fbc1/oncotarget-06-14656-g007.jpg
https://cdn.ncbi.nlm.nih.gov/pmc/blobs/048b/4546495/27f8b50d35e5/oncotarget-06-14656-g008.jpg
https://cdn.ncbi.nlm.nih.gov/pmc/blobs/048b/4546495/6d09df3a2ee8/oncotarget-06-14656-g009.jpg
https://cdn.ncbi.nlm.nih.gov/pmc/blobs/048b/4546495/59651ff317c8/oncotarget-06-14656-g001.jpg
https://cdn.ncbi.nlm.nih.gov/pmc/blobs/048b/4546495/910c09b29065/oncotarget-06-14656-g002.jpg
https://cdn.ncbi.nlm.nih.gov/pmc/blobs/048b/4546495/6e3c0b278db1/oncotarget-06-14656-g003.jpg
https://cdn.ncbi.nlm.nih.gov/pmc/blobs/048b/4546495/de922ae7069b/oncotarget-06-14656-g004.jpg
https://cdn.ncbi.nlm.nih.gov/pmc/blobs/048b/4546495/69c1520e0918/oncotarget-06-14656-g005.jpg
https://cdn.ncbi.nlm.nih.gov/pmc/blobs/048b/4546495/b40b010826ed/oncotarget-06-14656-g006.jpg
https://cdn.ncbi.nlm.nih.gov/pmc/blobs/048b/4546495/b7e62fa9fbc1/oncotarget-06-14656-g007.jpg
https://cdn.ncbi.nlm.nih.gov/pmc/blobs/048b/4546495/27f8b50d35e5/oncotarget-06-14656-g008.jpg
https://cdn.ncbi.nlm.nih.gov/pmc/blobs/048b/4546495/6d09df3a2ee8/oncotarget-06-14656-g009.jpg

相似文献

1
Dynamic treatment effect (DTE) curves reveal the mode of action for standard and experimental cancer therapies.动态治疗效果(DTE)曲线揭示了标准癌症疗法和实验性癌症疗法的作用模式。
Oncotarget. 2015 Jun 10;6(16):14656-68. doi: 10.18632/oncotarget.4141.
2
Adenovirally delivered tumor necrosis factor-alpha improves the antiglioma efficacy of concomitant radiation and temozolomide therapy.腺病毒介导的肿瘤坏死因子-α可提高同步放疗和替莫唑胺治疗的抗胶质瘤疗效。
Clin Cancer Res. 2007 Oct 15;13(20):6217-23. doi: 10.1158/1078-0432.CCR-07-1421.
3
Effects of concomitant temozolomide and radiation therapies on WT1-specific T-cells in malignant glioma.替莫唑胺联合放化疗对恶性胶质瘤中 WT1 特异性 T 细胞的影响。
Jpn J Clin Oncol. 2010 May;40(5):395-403. doi: 10.1093/jjco/hyp196. Epub 2010 Apr 2.
4
The inhibition of proliferation and migration of glioma spheroids exposed to temozolomide is less than additive if combined with irradiation.与放疗联合使用时,暴露于替莫唑胺的胶质瘤球状体的增殖和迁移抑制作用小于相加作用。
Oncol Rep. 2007 Apr;17(4):941-5.
5
Concomitant treatment with temozolomide enhances apoptotic cell death in glioma cells induced by photodynamic therapy with talaporfin sodium.替莫唑胺联合治疗增强了钠他拉滨光动力疗法诱导的脑胶质瘤细胞的细胞凋亡。
Photodiagnosis Photodyn Ther. 2014 Dec;11(4):556-64. doi: 10.1016/j.pdpdt.2014.09.002. Epub 2014 Sep 28.
6
Magnetic resonance imaging determination of tumor grade and early response to temozolomide in a genetically engineered mouse model of glioma.在基因工程胶质瘤小鼠模型中,通过磁共振成像确定肿瘤分级及对替莫唑胺的早期反应。
Clin Cancer Res. 2007 May 15;13(10):2897-904. doi: 10.1158/1078-0432.CCR-06-3058.
7
Clinical features, management and outcomes of high-grade glioma patients in Ramathibodi Hospital.拉玛蒂博迪医院高级别胶质瘤患者的临床特征、治疗及预后
J Med Assoc Thai. 2010 Feb;93 Suppl 2:S68-73.
8
YB-1 dependent virotherapy in combination with temozolomide as a multimodal therapy approach to eradicate malignant glioma.YB-1 依赖性病毒疗法联合替莫唑胺作为一种多模态治疗方法,以根除恶性脑胶质瘤。
Int J Cancer. 2011 Sep 1;129(5):1265-76. doi: 10.1002/ijc.25783. Epub 2011 Jan 6.
9
Treatment of poorly differentiated glioma using a combination of monoclonal antibodies to extracellular connexin-43 fragment, temozolomide, and radiotherapy.使用针对细胞外连接蛋白43片段的单克隆抗体、替莫唑胺和放疗联合治疗低分化胶质瘤。
Bull Exp Biol Med. 2014 Aug;157(4):510-5. doi: 10.1007/s10517-014-2603-0. Epub 2014 Aug 12.
10
Temozolomide/PLGA microparticles plus vatalanib inhibits tumor growth and angiogenesis in an orthotopic glioma model.替莫唑胺/PLGA 微球联合伐他拉尼抑制原位脑胶质瘤模型中的肿瘤生长和血管生成。
Eur J Pharm Biopharm. 2010 Nov;76(3):371-5. doi: 10.1016/j.ejpb.2010.08.011. Epub 2010 Sep 9.

引用本文的文献

1
Inhibition of the Continuum of Radiation-Induced Normal Tissue Injury by a Redox-Active Mn Porphyrin.一种氧化还原活性锰卟啉对辐射诱导的正常组织损伤连续过程的抑制作用
Radiat Res. 2017 Jul;188(1):94-104. doi: 10.1667/RR14757.1.S1. Epub 2017 May 18.

本文引用的文献

1
Self-renewal as a therapeutic target in human colorectal cancer.人类结直肠癌治疗靶点的自我更新。
Nat Med. 2014 Jan;20(1):29-36. doi: 10.1038/nm.3418. Epub 2013 Dec 1.
2
New cast for a new era: preclinical cancer drug development revisited.新时代的新选择:重新审视癌症临床前药物研发。
J Clin Invest. 2013 Sep;123(9):3639-45. doi: 10.1172/JCI68340. Epub 2013 Sep 3.
3
Evolutionary dynamics of cancer in response to targeted combination therapy.癌症对靶向联合治疗反应的进化动力学
Elife. 2013 Jun 25;2:e00747. doi: 10.7554/eLife.00747.
4
Drug development: Raise standards for preclinical cancer research.药物研发:提高临床前癌症研究标准。
Nature. 2012 Mar 28;483(7391):531-3. doi: 10.1038/483531a.
5
Combining immunotherapy and targeted therapies in cancer treatment.将免疫疗法和靶向疗法相结合用于癌症治疗。
Nat Rev Cancer. 2012 Mar 22;12(4):237-51. doi: 10.1038/nrc3237.
6
Cancer immunotherapy--revisited.癌症免疫疗法——再探。
Nat Rev Drug Discov. 2011 Aug 1;10(8):591-600. doi: 10.1038/nrd3500.
7
Biology, models, and the analysis of tumor xenograft experiments.肿瘤异种移植实验的生物学、模型与分析。
Clin Cancer Res. 2011 Mar 1;17(5):949-51. doi: 10.1158/1078-0432.CCR-10-3279. Epub 2011 Jan 11.
8
Bayesian hierarchical changepoint methods in modeling the tumor growth profiles in xenograft experiments.贝叶斯分层变点方法在建模异种移植实验中肿瘤生长曲线中的应用。
Clin Cancer Res. 2011 Mar 1;17(5):1057-64. doi: 10.1158/1078-0432.CCR-10-1935. Epub 2010 Dec 3.
9
Analysis of multi-arm tumor growth trials in xenograft animals using phase change adaptive piecewise quadratic models.使用相变自适应分段二次模型分析异种移植动物的多臂肿瘤生长试验。
Stat Med. 2010 Oct 15;29(23):2399-409. doi: 10.1002/sim.3992.
10
The design of phase II clinical trials testing cancer therapeutics: consensus recommendations from the clinical trial design task force of the national cancer institute investigational drug steering committee.评估癌症治疗药物的 II 期临床试验设计:美国国家癌症研究所试验药物指导委员会临床试验设计工作组的共识建议。
Clin Cancer Res. 2010 Mar 15;16(6):1764-9. doi: 10.1158/1078-0432.CCR-09-3287. Epub 2010 Mar 9.