Suppr超能文献

孔雀(孔雀雉)在斜坡上行走的代谢成本。

The metabolic cost of walking on an incline in the Peacock (Pavo cristatus).

作者信息

Wilkinson Holly, Thavarajah Nathan, Codd Jonathan

机构信息

Faculty of Life Sciences, University of Manchester , Manchester , UK.

出版信息

PeerJ. 2015 Jun 2;3:e987. doi: 10.7717/peerj.987. eCollection 2015.

Abstract

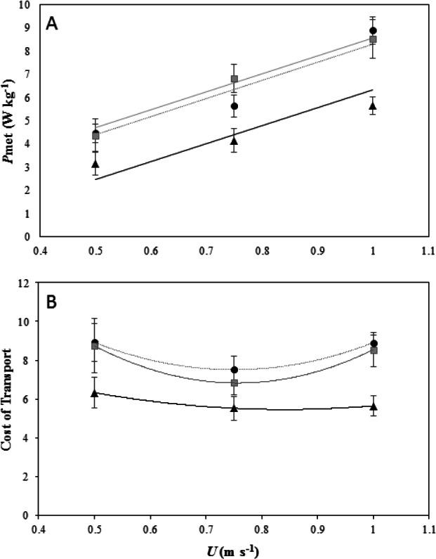
Altering speed and moving on a gradient can affect an animal's posture and gait, which in turn can change the energetic requirements of terrestrial locomotion. Here, the energetic and kinematic effects of locomoting on an incline were investigated in the Indian peacock, Pavo cristatus. The mass-specific metabolic rate of the Indian peacock was elevated on an incline, but this change was not dependent on the angle ascended and the cost of lifting remained similar between the two inclines (+5 and +7°). Interestingly, the Indian peacock had the highest efficiency when compared to any other previously studied avian biped, despite the presence of a large train. Duty factors were higher for birds moving on an incline, but there was no difference between +5 and +7°. Our results highlight the importance of investigating kinematic responses during energetic studies, as these may enable explanation of what is driving the underlying metabolic differences when moving on inclines. Further investigations are required to elucidate the underlying mechanical processes occurring during incline movement.

摘要

改变速度和在斜坡上移动会影响动物的姿势和步态,进而改变陆地运动的能量需求。在此,对印度孔雀(Pavo cristatus)在斜坡上移动时的能量和运动学效应进行了研究。印度孔雀在斜坡上的单位质量代谢率有所提高,但这种变化并不取决于上升的角度,并且在两个斜坡(+5°和+7°)上举起的成本保持相似。有趣的是,尽管印度孔雀有一个大的尾屏,但与之前研究过的任何其他鸟类双足动物相比,其效率最高。在斜坡上移动的鸟类的 duty 因子更高,但在+5°和+7°之间没有差异。我们的结果强调了在能量研究中调查运动学反应的重要性,因为这些反应可能有助于解释在斜坡上移动时驱动潜在代谢差异的因素。需要进一步研究以阐明斜坡运动过程中发生的潜在机械过程。

https://cdn.ncbi.nlm.nih.gov/pmc/blobs/3f26/4458126/095744b2a141/peerj-03-987-g001.jpg

文献AI研究员

20分钟写一篇综述,助力文献阅读效率提升50倍。

立即体验

用中文搜PubMed

大模型驱动的PubMed中文搜索引擎

马上搜索

文档翻译

学术文献翻译模型,支持多种主流文档格式。

立即体验