Suppr超能文献

Theory and Simulation for Traffic Characteristics on the Highway with a Slowdown Section.

作者信息

Xu Dejie, Mao Baohua, Rong Yaping, Wei Wei

机构信息

MOE Key Laboratory for Urban Transportation Complex Systems Theory and Technology, Beijing Jiaotong University, Beijing 100044, China.

MOE Key Laboratory for Urban Transportation Complex Systems Theory and Technology, Beijing Jiaotong University, Beijing 100044, China ; Integrated Transport Research Center of China, Beijing Jiaotong University, Beijing 100044, China.

出版信息

Comput Intell Neurosci. 2015;2015:757823. doi: 10.1155/2015/757823. Epub 2015 May 18.

Abstract

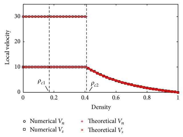
We study the traffic characteristics on a single-lane highway with a slowdown section using the deterministic cellular automaton (CA) model. Based on the theoretical analysis, the relationships among local mean densities, velocities, traffic fluxes, and global densities are derived. The results show that two critical densities exist in the evolutionary process of traffic state, and they are significant demarcation points for traffic phase transition. Furthermore, the changing laws of the two critical densities with different length of limit section are also investigated. It is shown that only one critical density appears if a highway is not slowdown section; nevertheless, with the growing length of slowdown section, one critical density separates into two critical densities; if the entire highway is slowdown section, they finally merge into one. The contrastive analysis proves that the analytical results are consistent with the numerical ones.

摘要
https://cdn.ncbi.nlm.nih.gov/pmc/blobs/9df6/4451007/fec2fbe7cb0c/CIN2015-757823.001.jpg

文献AI研究员

20分钟写一篇综述,助力文献阅读效率提升50倍。

立即体验

用中文搜PubMed

大模型驱动的PubMed中文搜索引擎

马上搜索

文档翻译

学术文献翻译模型,支持多种主流文档格式。

立即体验