Suppr超能文献

狼疮性肾炎患者低白蛋白血症、高脂血症与肾脏严重程度的关系:一项前瞻性研究。

Relationship between hypoalbuminemia, hyperlipidemia and renal severity in patients with lupus nephritis: a prospective study.

作者信息

Sui Manshu, Jia Xibei, Yu Chengyuan, Guo Xiaofang, Liu Xiaogang, Ji Ying, Mu Suhong, Wu Hongchi, Xie Rujuan

机构信息

Department of Nephrology, First Affiliated Hospital of Harbin Medical University, Harbin, PR China.

Department of Cardiology, First Affiliated Hospital of Harbin Medical University, Harbin, PR China.

出版信息

Cent Eur J Immunol. 2014;39(2):243-52. doi: 10.5114/ceji.2014.43730. Epub 2014 Jun 27.

Abstract

AIM OF THE STUDY

The purpose is to evaluate the relationship between hypoalbuminemia, hyperlipidemia, nephrotic and renal severity in patients with lupus nephritis.

MATERIAL AND METHODS

Autoantibodies and serological parameters were measured and analyzed in 429 patients with lupus nephritis in a single centre.

RESULTS

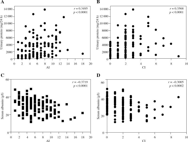
The prevalence for anti-dsDNA, anti-nucleosome and anti-histone was higher in the nephrotic syndrome (NS) patients than that in non-NS patients (p < 0.0001 for all comparisons). The NS patients had a higher proportion of diffuse proliferative renal lesions (69.05%) and membranous lesions (68.00%). Serum total cholesterol and albumin levels were associated with activity and severity of renal disease. The levels of proteinuria and serum albumin were positively correlated with activity and chronicity index (p < 0.001 for all correlations). The incidence of a poor renal outcome (p = 0.0461) in the NS patients was significantly increased. On the other hand, the remission rate (p = 0.0002) was significantly reduced and recurrence rate (p = 0.0027) was significantly increased in NS patients.

CONCLUSIONS

This paper highlights that nephrotic-range proteinuria, elevated total cholesterol level and decreased serum albumin levels may reflect the activity and severity of renal damage in SLE patients.

摘要

研究目的

本研究旨在评估狼疮性肾炎患者低白蛋白血症、高脂血症、肾病及肾脏严重程度之间的关系。

材料与方法

在单一中心对429例狼疮性肾炎患者的自身抗体和血清学参数进行测量及分析。

结果

肾病综合征(NS)患者中抗双链DNA、抗核小体及抗组蛋白的患病率高于非NS患者(所有比较p<0.0001)。NS患者中弥漫性增殖性肾损害(69.05%)和膜性损害(68.00%)的比例更高。血清总胆固醇和白蛋白水平与肾脏疾病的活动度和严重程度相关。蛋白尿水平和血清白蛋白水平与活动度和慢性指数呈正相关(所有相关性p<0.001)。NS患者肾脏不良结局的发生率显著增加(p=0.0461)。另一方面,NS患者的缓解率显著降低(p=0.0002),复发率显著升高(p=0.0027)。

结论

本文强调肾病范围蛋白尿、总胆固醇水平升高及血清白蛋白水平降低可能反映系统性红斑狼疮患者肾脏损害的活动度和严重程度。

https://cdn.ncbi.nlm.nih.gov/pmc/blobs/d8f0/4440014/e6a5e121d620/CEJI-39-43730-g001.jpg

相似文献

1
Relationship between hypoalbuminemia, hyperlipidemia and renal severity in patients with lupus nephritis: a prospective study.
Cent Eur J Immunol. 2014;39(2):243-52. doi: 10.5114/ceji.2014.43730. Epub 2014 Jun 27.
3
Measurement of autoantibodies in pediatric-onset systemic lupus erythematosus and their relationship with disease-associated manifestations.
Semin Arthritis Rheum. 2012 Jun;41(6):840-8. doi: 10.1016/j.semarthrit.2011.09.009. Epub 2011 Dec 15.
6
Morphological Indexes: Can They Predict Lupus Nephritis Outcomes? A Retrospective Study.
Acta Med Port. 2019 Oct 1;32(10):635-640. doi: 10.20344/amp.11598.
7
Serum and Urinary Interferon-Gamma-Inducible Protein 10 in Lupus Nephritis.
J Clin Lab Anal. 2016 Nov;30(6):1135-1138. doi: 10.1002/jcla.21993. Epub 2016 May 17.
10
Reactivity in ELISA with DNA-loaded nucleosomes in patients with proliferative lupus nephritis.
Mol Immunol. 2015 Nov;68(1):20-4. doi: 10.1016/j.molimm.2015.06.004.

引用本文的文献

1
Serum Albumin as an Early Predictor of Proteinuria Recovery in Lupus Nephritis.
Mediterr J Rheumatol. 2025 May 14;36(2):242-250. doi: 10.31138/mjr.040924.sai. eCollection 2025 Jun.
2
Associations of the Total Cholesterol/high-density Lipoprotein Cholesterol Ratio with Outcomes in Lupus Nephritis.
Int J Med Sci. 2025 Apr 28;22(10):2398-2407. doi: 10.7150/ijms.106393. eCollection 2025.
3
Effects of remnant cholesterol on adverse renal outcomes in lupus nephritis.
Lipids Health Dis. 2025 Apr 10;24(1):135. doi: 10.1186/s12944-025-02503-y.
6
Role of low-density lipoprotein receptor rs5925 (1959C>T) gene polymorphism in pathogenesis of dyslipidemia among Egyptian lupus nephritis patients.
Arch Rheumatol. 2022 May 6;37(4):584-592. doi: 10.46497/ArchRheumatol.2022.9247. eCollection 2022 Dec.
7
The Shifting Landscape of Lupus Nephritis Management: A Review.
Cureus. 2022 Jan 5;14(1):e20950. doi: 10.7759/cureus.20950. eCollection 2022 Jan.
8
Serum albumin and beta-amyloid deposition in the human brain.
Neurology. 2020 Aug 18;95(7):e815-e826. doi: 10.1212/WNL.0000000000010005. Epub 2020 Jul 20.
9
MicroRNA-148a regulates low-density lipoprotein metabolism by repressing the (pro)renin receptor.
PLoS One. 2020 May 21;15(5):e0225356. doi: 10.1371/journal.pone.0225356. eCollection 2020.
10
Outcome of participants with nephrotic syndrome in combined clinical trials of lupus nephritis.
Lupus Sci Med. 2019 Feb 4;6(1):e000308. doi: 10.1136/lupus-2018-000308. eCollection 2019.

本文引用的文献

1
Simultaneous positivity for anti-DNA, anti-nucleosome and anti-histone antibodies is a marker for more severe lupus nephritis.
J Clin Immunol. 2013 Feb;33(2):378-87. doi: 10.1007/s10875-012-9825-6. Epub 2012 Oct 26.
3
Predictors of chronic kidney disease in Korean patients with lupus nephritis.
J Rheumatol. 2011 Dec;38(12):2588-97. doi: 10.3899/jrheum.110363. Epub 2011 Oct 1.
5
Predictors of mortality and end stage renal disease in Saudi patients with lupus nephritis.
Lupus. 2011 Oct;20(12):1329-35. doi: 10.1177/0961203311415560. Epub 2011 Aug 3.
6
Worse renal outcome of lupus nephritis in male patients: a case-control study.
Lupus. 2011 May;20(6):561-7. doi: 10.1177/0961203310392422. Epub 2011 Mar 17.
7
Dyslipidaemia in patients with lupus nephritis.
Nephrology (Carlton). 2011 Jul;16(5):511-7. doi: 10.1111/j.1440-1797.2011.01456.x.
9
Epidemiology of systemic lupus erythematosus in Asia.
Lupus. 2010 Oct;19(12):1365-73. doi: 10.1177/0961203310374305.

文献AI研究员

20分钟写一篇综述,助力文献阅读效率提升50倍。

立即体验

用中文搜PubMed

大模型驱动的PubMed中文搜索引擎

马上搜索

文档翻译

学术文献翻译模型,支持多种主流文档格式。

立即体验