Button K S, Kounali D, Thomas L, Wiles N J, Peters T J, Welton N J, Ades A E, Lewis G
School of Social and Community Medicine,University of Bristol,Bristol,UK.
School of Clinical Sciences,University of Bristol,Bristol,UK.
Psychol Med. 2015 Nov;45(15):3269-79. doi: 10.1017/S0033291715001270. Epub 2015 Jul 13.
The Beck Depression Inventory, 2nd edition (BDI-II) is widely used in research on depression. However, the minimal clinically important difference (MCID) is unknown. MCID can be estimated in several ways. Here we take a patient-centred approach, anchoring the change on the BDI-II to the patient's global report of improvement.
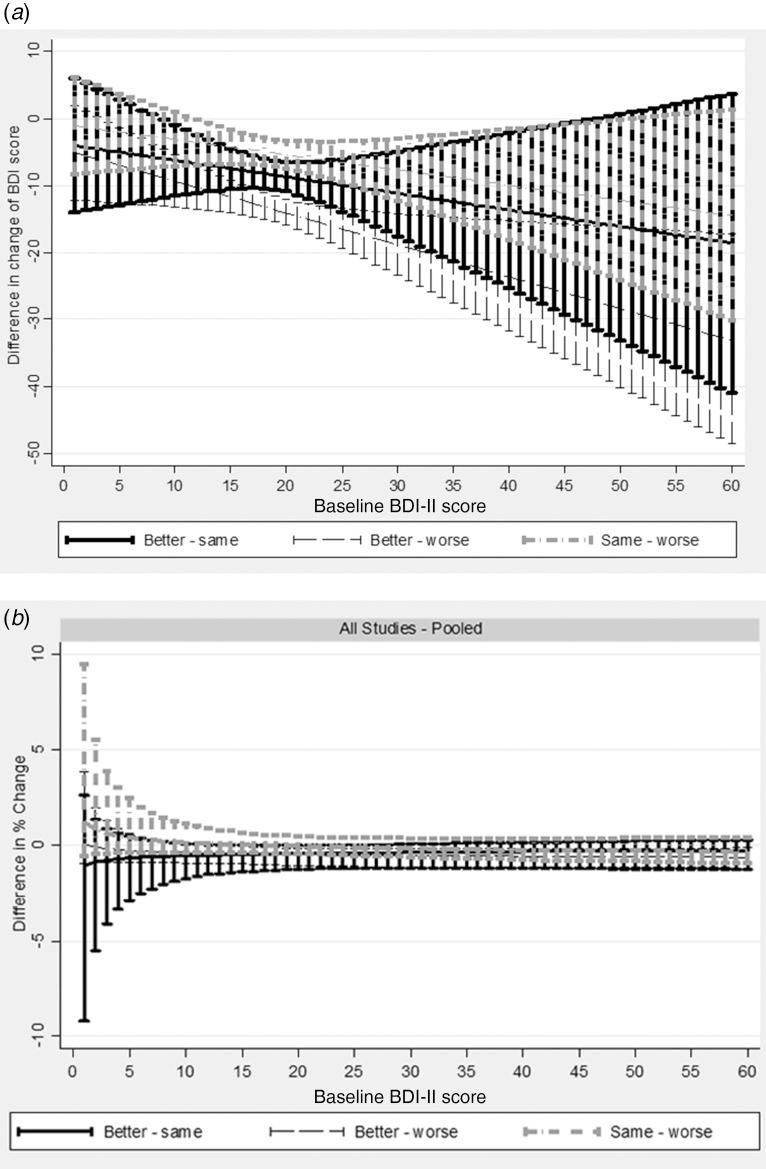
We used data collected (n = 1039) from three randomized controlled trials for the management of depression. Improvement on a 'global rating of change' question was compared with changes in BDI-II scores using general linear modelling to explore baseline dependency, assessing whether MCID is best measured in absolute terms (i.e. difference) or as percent reduction in scores from baseline (i.e. ratio), and receiver operator characteristics (ROC) to estimate MCID according to the optimal threshold above which individuals report feeling 'better'.
Improvement in BDI-II scores associated with reporting feeling 'better' depended on initial depression severity, and statistical modelling indicated that MCID is best measured on a ratio scale as a percentage reduction of score. We estimated a MCID of a 17.5% reduction in scores from baseline from ROC analyses. The corresponding estimate for individuals with longer duration depression who had not responded to antidepressants was higher at 32%.
MCID on the BDI-II is dependent on baseline severity, is best measured on a ratio scale, and the MCID for treatment-resistant depression is larger than that for more typical depression. This has important implications for clinical trials and practice.
贝克抑郁量表第二版(BDI-II)在抑郁症研究中被广泛使用。然而,最小临床重要差异(MCID)尚不清楚。MCID可以通过多种方式进行估计。在这里,我们采用以患者为中心的方法,将BDI-II的变化与患者对改善情况的整体报告联系起来。
我们使用了从三项抑郁症管理随机对照试验中收集的数据(n = 1039)。使用一般线性模型将“整体变化评分”问题上的改善与BDI-II得分的变化进行比较,以探索基线依赖性,评估MCID是以绝对值(即差值)还是以相对于基线得分的百分比降低(即比率)来衡量最佳,以及使用接受者操作特征(ROC)根据个体报告感觉“好转”的最佳阈值来估计MCID。
与报告感觉“好转”相关的BDI-II得分改善取决于初始抑郁严重程度,统计模型表明,MCID最好以比率量表衡量,即得分降低的百分比。通过ROC分析,我们估计MCID为相对于基线得分降低17.5%。对于未对抗抑郁药有反应的病程较长的抑郁症患者,相应的估计值更高,为32%。
BDI-II的MCID取决于基线严重程度,最好以比率量表衡量,并且难治性抑郁症的MCID大于更典型抑郁症的MCID。这对临床试验和实践具有重要意义。