Neto Nelson Inacio Pinto, Rodrigues Maria Elizabeth Sousa, Hachul Ana Claudia Losinskas, Moreno Mayara Franzoi, Boldarine Valter Tadeu, Ribeiro Eliane Beraldi, Oyama Lila Missae, Oller do Nascimento Claudia Maria
Departamento de Fisiologia, Disciplina de Fisiologia da Nutrição, Universidade Federal de São Paulo, Rua Botucatu 862, 2nd floor, Edifício de Ciências Biomédicas, 04023060 Vila Clementino, SP, Brazil.
Mediators Inflamm. 2015;2015:923248. doi: 10.1155/2015/923248. Epub 2015 Jun 14.
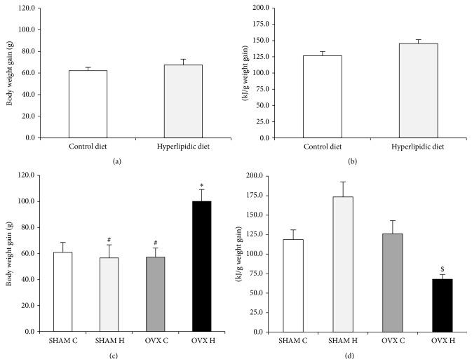
Four-week-old female Wistar rats were divided into two groups and fed a control diet (C) or a hyperlipidic diet (H) for 4 weeks. Rats from each group underwent ovariectomy (OVX) or sham surgery (SHAM). They received C or H for the next four weeks. The body weight gain (BW), food efficiency (FE), and carcass lipid content were higher in the OVX H than in the SHAM H. The OVX H exhibited a higher serum leptin level than other groups. IL-6, TNF-α, and IL-10 content of mesenteric (MES) adipose tissue was lower in the OVX H than in the OVX C. IL-6, TNF-α, and IL-10 content of retroperitoneal (RET) adipose tissue was lower in the SHAM H than in the SHAM C. The SHAM H showed decreased TG relative to the SHAM C. Similar results were obtained in relation to IL-6Rα, TNFR1, TLR-4, and MyD88 contents in the MES and RET white adipose tissue among the groups. A hyperlipidic diet for 8 weeks combined with short-term ovariectomy decreases the cytokine content of MES adipose tissues but increases BW, enhancing FE and elevating serum leptin levels. These suggest that the absence of estrogens promotes metabolic changes that may contribute to installation of a proinflammatory process induced by a hyperlipidic diet.
将四周龄雌性Wistar大鼠分为两组,分别给予对照饮食(C)或高脂饮食(H),持续4周。每组大鼠均接受卵巢切除术(OVX)或假手术(SHAM)。在接下来的四周内,它们继续接受C或H饮食。OVX H组的体重增加(BW)、食物效率(FE)和胴体脂质含量均高于SHAM H组。OVX H组的血清瘦素水平高于其他组。OVX H组肠系膜(MES)脂肪组织中的白细胞介素-6(IL-6)、肿瘤坏死因子-α(TNF-α)和白细胞介素-10含量低于OVX C组。SHAM H组腹膜后(RET)脂肪组织中的IL-6、TNF-α和IL-10含量低于SHAM C组。相对于SHAM C组,SHAM H组的甘油三酯(TG)水平降低。各组MES和RET白色脂肪组织中白细胞介素-6受体α(IL-6Rα)、肿瘤坏死因子受体1(TNFR1)、Toll样受体4(TLR-4)和髓样分化因子88(MyD88)的含量也得到了类似结果。8周高脂饮食联合短期卵巢切除术可降低MES脂肪组织中的细胞因子含量,但会增加体重、提高食物效率并升高血清瘦素水平。这些结果表明,雌激素缺乏会促进代谢变化,这可能有助于引发高脂饮食诱导的促炎过程。