Suppr超能文献

泥敷疗法治疗膝骨关节炎的临床疗效:随机对照研究的Meta分析

Clinical Efficacy of Mudpack Therapy in Treating Knee Osteoarthritis: A Meta-Analysis of Randomized Controlled Studies.

作者信息

Xiang Jie, Wu Dongying, Li Jian'an

机构信息

From the Department of Rehabilitation, The First Affiliated Hospital of Nanjing Medical University, Nanjing, China (JX, JL); and Departments of Rehabilitation (JX) and Orthopedics (DW), The Affiliated Hospital of Xuzhou Medical College, Xuzhou, China.

出版信息

Am J Phys Med Rehabil. 2016 Feb;95(2):121-31. doi: 10.1097/PHM.0000000000000354.

Abstract

OBJECTIVE

The objective of this study was to evaluate the clinical efficacy of mudpack therapy for the treatment of knee osteoarthritis and identify the likely factors associated with the high heterogeneity of combined studies.

DESIGN

The Medline, Embase, and Cochrane Library databases were systematically searched for randomized controlled trials in which mudpack therapy was used to treat knee osteoarthritis.

RESULTS

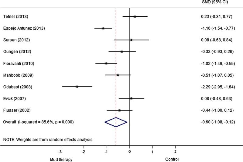
Ten publications that reported the results from a total of 1010 subjects were included in this meta-analysis. Meta-analysis of improvement in joint function at the final follow-up visit suggested, given that the follow-up time was less than 4 mos, that the combined effect size of four studies was -0.30 (-0.62 to 0.02) and the difference did not reach the level of statistical significance. When the follow-up time reached 4 mos, the combined effect size was -1.10 (-2.07 to -0.14) and the difference was significant. The I values of the two groups were 21.4% and 93.8%.

CONCLUSION

Functional improvement of the knee joint in patients treated with mudpack therapy was not significantly different from that of control subjects at the end of the 4-mo follow-up. The quality of current publications was a factor causing heterogeneity.

摘要

目的

本研究旨在评估泥敷疗法治疗膝关节骨关节炎的临床疗效,并确定联合研究中高异质性的可能相关因素。

设计

系统检索Medline、Embase和Cochrane图书馆数据库,查找使用泥敷疗法治疗膝关节骨关节炎的随机对照试验。

结果

本荟萃分析纳入了10篇报道共1010名受试者结果的文献。对末次随访时关节功能改善情况的荟萃分析表明,鉴于随访时间少于4个月,4项研究的合并效应量为-0.30(-0.62至0.02),差异未达到统计学意义水平。当随访时间达到4个月时,合并效应量为-1.10(-2.07至-0.14),差异具有统计学意义。两组的I值分别为21.4%和93.8%。

结论

在4个月随访结束时,接受泥敷疗法治疗的患者膝关节功能改善与对照组相比无显著差异。当前文献的质量是导致异质性的一个因素。

https://cdn.ncbi.nlm.nih.gov/pmc/blobs/cf82/4704659/284c0a38b627/phm-95-121-g003.jpg

文献AI研究员

20分钟写一篇综述,助力文献阅读效率提升50倍。

立即体验

用中文搜PubMed

大模型驱动的PubMed中文搜索引擎

马上搜索

文档翻译

学术文献翻译模型,支持多种主流文档格式。

立即体验