Larrouy-Maestri Pauline, Magis David, Grabenhorst Matthias, Morsomme Dominique
Neuroscience Department, Max-Planck-Institute for Empirical Aesthetics, Frankfurt, Germany; Psychology Department, University of Liège, Liège, Belgium.
Fonds de la Recherche Scientifique-FNRS, Brussels, Belgium.
PLoS One. 2015 Aug 26;10(8):e0135394. doi: 10.1371/journal.pone.0135394. eCollection 2015.
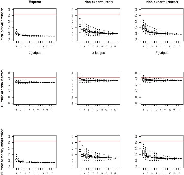
The increasing number of casting shows and talent contests in the media over the past years suggests a public interest in rating the quality of vocal performances. In many of these formats, laymen alongside music experts act as judges. Whereas experts' judgments are considered objective and reliable when it comes to evaluating singing voice, little is known about laymen's ability to evaluate peers. On the one hand, layman listeners-who by definition did not have any formal training or regular musical practice-are known to have internalized the musical rules on which singing accuracy is based. On the other hand, layman listeners' judgment of their own vocal skills is highly inaccurate. Also, when compared with that of music experts, their level of competence in pitch perception has proven limited. The present study investigates laypersons' ability to objectively evaluate melodies performed by untrained singers. For this purpose, laymen listeners were asked to judge sung melodies. The results were compared with those of music experts who had performed the same task in a previous study. Interestingly, the findings show a high objectivity and reliability in layman listeners. Whereas both the laymen's and experts' definition of pitch accuracy overlap, differences regarding the musical criteria employed in the rating task were evident. The findings suggest that the effect of expertise is circumscribed and limited and supports the view that laypersons make trustworthy judges when evaluating the pitch accuracy of untrained singers.
在过去几年中,媒体上选秀节目和才艺竞赛的数量不断增加,这表明公众对评判声乐表演质量有着浓厚兴趣。在许多这类节目形式中,除了音乐专家外,外行人也担任评委。虽然在评估歌唱声音方面,专家的判断被认为是客观可靠的,但对于外行人评估同行的能力却知之甚少。一方面,外行人听众——从定义上来说他们没有接受过任何正规训练或定期的音乐练习——已知他们已经内化了歌唱准确性所基于的音乐规则。另一方面,外行人听众对自己声乐技能的判断非常不准确。此外,与音乐专家相比,他们在音高感知方面的能力水平已被证明是有限的。本研究调查外行人客观评估未经训练的歌手所演唱旋律的能力。为此,要求外行人听众评判所演唱的旋律。将结果与之前一项研究中执行相同任务的音乐专家的结果进行比较。有趣的是,研究结果表明外行人听众具有很高的客观性和可靠性。虽然外行人与专家对音高准确性的定义有重叠之处,但在评分任务中所采用的音乐标准方面的差异是明显的。研究结果表明,专业知识的影响是有限的,并且支持这样一种观点,即外行人在评估未经训练的歌手的音高准确性时能够成为值得信赖的评委。