Suppr超能文献

钙助剂修饰的镍负载钯纳米颗粒:一种新型低温氨裂解催化剂

Ni-Supported Pd Nanoparticles with Ca Promoter: A New Catalyst for Low-Temperature Ammonia Cracking.

作者信息

Polanski Jaroslaw, Bartczak Piotr, Ambrozkiewicz Weronika, Sitko Rafal, Siudyga Tomasz, Mianowski Andrzej, Szade Jacek, Balin Katarzyna, Lelątko Józef

机构信息

Institute of Chemistry, University of Silesia, Szkolna 9, 40-006 Katowice, Poland.

A. Chełkowski Institute of Physics, University of Silesia, Silesian Center for Education and Interdisciplinary Research, 41-500 Chorzów, Poland.

出版信息

PLoS One. 2015 Aug 26;10(8):e0136805. doi: 10.1371/journal.pone.0136805. eCollection 2015.

Abstract

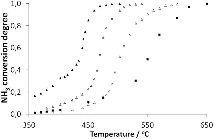
In this paper we report a new nanometallic, self-activating catalyst, namely, Ni-supported Pd nanoparticles (PdNPs/Ni) for low temperature ammonia cracking, which was prepared using a novel approach involving the transfer of nanoparticles from the intermediate carrier, i.e. nano-spherical SiO2, to the target carrier technical grade Ni (t-Ni) or high purity Ni (p-Ni) grains. The method that was developed allows a uniform nanoparticle size distribution (4,4±0.8 nm) to be obtained. Unexpectedly, the t-Ni-supported Pd NPs, which seemed to have a surface Ca impurity, appeared to be more active than the Ca-free (p-Ni) system. A comparison of the novel PdNPs/Ni catalyst with these reported in the literature clearly indicates the much better hydrogen productivity of the new system, which seems to be a highly efficient, flexible and durable catalyst for gas-phase heterogeneous ammonia cracking in which the TOF reaches a value of 2615 mmolH2/gPd min (10,570 molNH3/molPd(NP) h) at 600°C under a flow of 12 dm3/h (t-Ni).

摘要

在本文中,我们报道了一种新型的纳米金属自激活催化剂,即用于低温氨裂解的负载镍的钯纳米颗粒(PdNPs/Ni),它是采用一种新颖的方法制备的,该方法涉及将纳米颗粒从中间载体(即纳米球形SiO₂)转移到目标载体工业级镍(t-Ni)或高纯度镍(p-Ni)颗粒上。所开发的方法能够获得均匀的纳米颗粒尺寸分布(4.4±0.8 nm)。出乎意料的是,表面似乎含有钙杂质的负载在t-Ni上的钯纳米颗粒比不含钙的(p-Ni)体系表现出更高的活性。将新型PdNPs/Ni催化剂与文献中报道的催化剂进行比较,清楚地表明新体系具有更高的产氢率,它似乎是一种高效、灵活且耐用的用于气相非均相氨裂解的催化剂,在600°C、12 dm³/h的气流条件下(t-Ni),其转化频率(TOF)达到2615 mmolH₂/gPd·min(10570 molNH₃/molPd(NP)·h)。

https://cdn.ncbi.nlm.nih.gov/pmc/blobs/02b0/4550460/bba8aefcf533/pone.0136805.g001.jpg

文献AI研究员

20分钟写一篇综述,助力文献阅读效率提升50倍。

立即体验

用中文搜PubMed

大模型驱动的PubMed中文搜索引擎

马上搜索

文档翻译

学术文献翻译模型,支持多种主流文档格式。

立即体验