Nutter Faith Hannah, Haylor John L, Khwaja Arif
Academic Unit of Nephrology, Department of Infection and Immunity, Medical School, University of Sheffield, Sheffield, England.
Sheffield Kidney Institute, Northern General Hospital, Sheffield, England.
PLoS One. 2015 Sep 28;10(9):e0137321. doi: 10.1371/journal.pone.0137321. eCollection 2015.
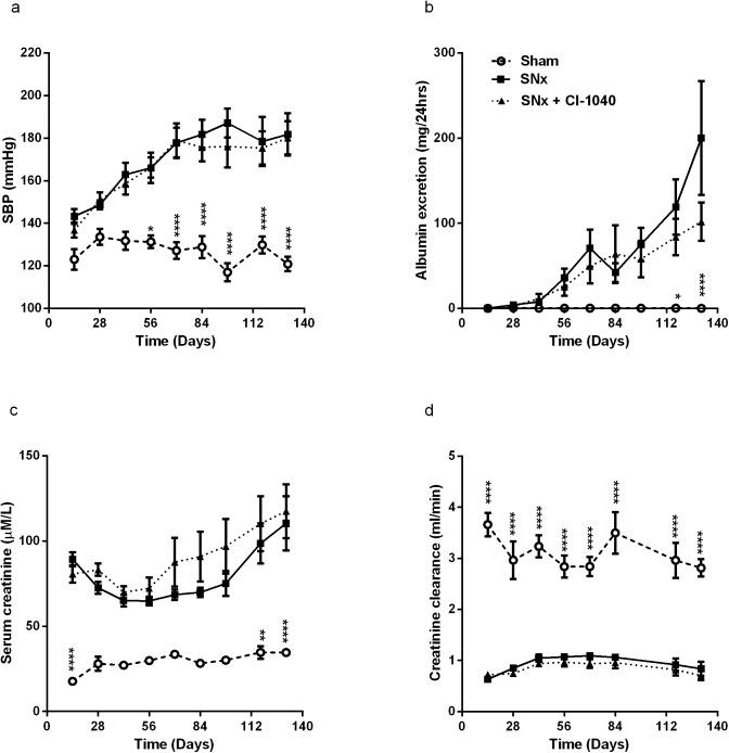
Extracellular-signal regulated kinase (ERK) activation by MEK plays a key role in many of the cellular processes that underlie progressive kidney fibrosis including cell proliferation, apoptosis and transforming growth factor β1-mediated epithelial to mesenchymal transition. We therefore assessed the therapeutic impact of ERK1/2 inhibition using a MEK inhibitor in the rat 5/6 subtotal nephrectomy (SNx) model of kidney fibrosis. There was a twentyfold upregulation in phospho-ERK1/2 expression in the kidney after SNx in Male Wistar rats. Rats undergoing SNx became hypertensive, proteinuric and developed progressive kidney failure with reduced creatinine clearance. Treatment with the MEK inhibitor, CI-1040 abolished phospho- ERK1/2 expression in kidney tissue and prevented phospho-ERK1/2 expression in peripheral lymphocytes during the entire course of therapy. CI-1040 had no impact on creatinine clearance, proteinuria, glomerular and tubular fibrosis, and α-smooth muscle actin expression. However, inhibition of ERK1/2 activation led to significant compensatory upregulation of the MAP kinases, p38 and JNK in kidney tissue. CI-1040 also increased the expression of plasminogen activator inhibitor-1 (PAI-1), a key inhibitor of plasmin-dependent matrix metalloproteinases. Thus inhibition of ERK1/2 activation has no therapeutic effect on kidney fibrosis in SNx possibly due to increased compensatory activation of the p38 and JNK signalling pathways with subsequent upregulation of PAI-1.
丝裂原活化蛋白激酶(MEK)介导的细胞外信号调节激酶(ERK)激活在许多导致进行性肾纤维化的细胞过程中起关键作用,这些过程包括细胞增殖、凋亡以及转化生长因子β1介导的上皮-间充质转化。因此,我们在大鼠5/6肾大部切除(SNx)肾纤维化模型中评估了使用MEK抑制剂抑制ERK1/2的治疗效果。雄性Wistar大鼠SNx术后,肾脏中磷酸化ERK1/2的表达上调了20倍。接受SNx手术的大鼠出现高血压、蛋白尿,并发展为进行性肾衰竭,肌酐清除率降低。在整个治疗过程中,使用MEK抑制剂CI-1040可消除肾组织中磷酸化ERK1/2的表达,并阻止外周淋巴细胞中磷酸化ERK1/2的表达。CI-1040对肌酐清除率、蛋白尿、肾小球和肾小管纤维化以及α平滑肌肌动蛋白的表达没有影响。然而,抑制ERK1/2激活会导致肾组织中丝裂原活化蛋白激酶p38和JNK显著代偿性上调。CI-亦增加了纤溶酶原激活物抑制剂1(PAI-1)的表达,PAI-1是纤溶酶依赖性基质金属蛋白酶的关键抑制剂。因此,抑制ERK1/2激活对SNx肾纤维化没有治疗作用,这可能是由于p38和JNK信号通路的代偿性激活增加,随后PAI-1上调所致。