Yi Zhiqian, Xu Maonian, Magnusdottir Manuela, Zhang Yuetuan, Brynjolfsson Sigurdur, Fu Weiqi
Center for Systems Biology and Faculty of Industrial Engineering, Mechanical Engineering and Computer Science, School of Engineering and Natural Sciences, University of Iceland, Reykjavík 101, Iceland.
Biomedical Center and Department of Life and Environmental Sciences, University of Iceland, Reykjavík 101, Iceland.
Mar Drugs. 2015 Sep 29;13(10):6138-51. doi: 10.3390/md13106138.
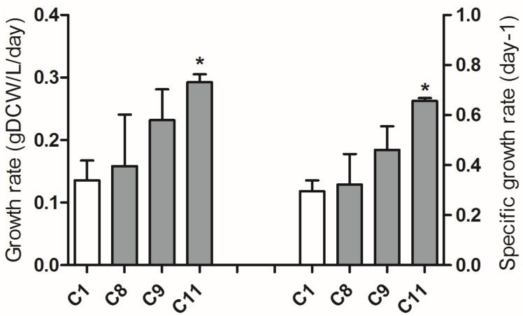
Marine diatoms have recently gained much attention as they are expected to be a promising resource for sustainable production of bioactive compounds such as carotenoids and biofuels as a future clean energy solution. To develop photosynthetic cell factories, it is important to improve diatoms for value-added products. In this study, we utilized UVC radiation to induce mutations in the marine diatom Phaeodactylum tricornutum and screened strains with enhanced accumulation of neutral lipids and carotenoids. Adaptive laboratory evolution (ALE) was also used in parallel to develop altered phenotypic and biological functions in P. tricornutum and it was reported for the first time that ALE was successfully applied on diatoms for the enhancement of growth performance and productivity of value-added carotenoids to date. Liquid chromatography-mass spectrometry (LC-MS) was utilized to study the composition of major pigments in the wild type P. tricornutum, UV mutants and ALE strains. UVC radiated strains exhibited higher accumulation of fucoxanthin as well as neutral lipids compared to their wild type counterpart. In addition to UV mutagenesis, P. tricornutum strains developed by ALE also yielded enhanced biomass production and fucoxanthin accumulation under combined red and blue light. In short, both UV mutagenesis and ALE appeared as an effective approach to developing desired phenotypes in the marine diatoms via electromagnetic radiation-induced oxidative stress.
海洋硅藻最近备受关注,因为它们有望成为可持续生产类胡萝卜素等生物活性化合物的有前途的资源,并且作为未来的清洁能源解决方案用于生产生物燃料。为了开发光合细胞工厂,改善硅藻以生产增值产品非常重要。在本研究中,我们利用紫外线C(UVC)辐射诱导海洋硅藻三角褐指藻发生突变,并筛选出中性脂质和类胡萝卜素积累增强的菌株。同时还采用了适应性实验室进化(ALE)来改变三角褐指藻的表型和生物学功能,并且首次报道ALE已成功应用于硅藻,以提高其生长性能和增值类胡萝卜素的产量。利用液相色谱 - 质谱联用(LC-MS)研究野生型三角褐指藻、紫外线突变体和ALE菌株中主要色素的组成。与野生型相比,UVC辐射菌株的岩藻黄质以及中性脂质积累更高。除了紫外线诱变外,通过ALE培育的三角褐指藻菌株在组合红光和蓝光下也产生了更高的生物量产量和岩藻黄质积累。简而言之,紫外线诱变和ALE似乎都是通过电磁辐射诱导的氧化应激在海洋硅藻中开发所需表型的有效方法。