Suppr超能文献

关于有缺陷石墨烯力学响应和失效行为的大规模分子模拟:5-8-5缺陷情形

Large-Scale Molecular Simulations on the Mechanical Response and Failure Behavior of a defective Graphene: Cases of 5-8-5 Defects.

作者信息

Wang Shuaiwei, Yang Baocheng, Yuan Jinyun, Si Yubing, Chen Houyang

机构信息

Institute of Nanostructured Functional Materials, Huanghe Science and Technology College, Zhengzhou, Henan 450006, China.

Department of Chemical and Biological Engineering, State University of New York at Buffalo, Buffalo, New York 14260-4200, USA.

出版信息

Sci Rep. 2015 Oct 9;5:14957. doi: 10.1038/srep14957.

Abstract

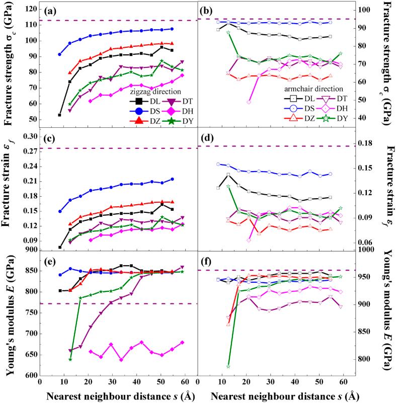
Understanding the effect of defects on mechanical responses and failure behaviors of a graphene membrane is important for its applications. As examples, in this paper, a family of graphene with various 5-8-5 defects are designed and their mechanical responses are investigated by employing molecular dynamics simulations. The dependence of fracture strength and strain as well as Young's moduli on the nearest neighbor distance and defect types is examined. By introducing the 5-8-5 defects into graphene, the fracture strength and strain become smaller. However, the Young's moduli of DL (Linear arrangement of repeat unit 5-8-5 defect along zigzag-direction of graphene), DS (a Slope angle between repeat unit 5-8-5 defect and zigzag direction of graphene) and DZ (Zigzag-like 5-8-5 defects) defects in the zigzag direction become larger than those in the pristine graphene in the same direction. A maximum increase of 11.8% of Young's modulus is obtained. Furthermore, the brittle cracking mechanism is proposed for the graphene with 5-8-5 defects. The present work may provide insights in controlling the mechanical properties by preparing defects in the graphene, and give a full picture for the applications of graphene with defects in flexible electronics and nanodevices.

摘要

了解缺陷对石墨烯膜力学响应和失效行为的影响对其应用至关重要。例如,本文设计了一系列具有各种5-8-5缺陷的石墨烯,并通过分子动力学模拟研究了它们的力学响应。研究了断裂强度、应变以及杨氏模量对最近邻距离和缺陷类型的依赖性。通过在石墨烯中引入5-8-5缺陷,断裂强度和应变变小。然而,在锯齿方向上,DL(重复单元5-8-5缺陷沿石墨烯锯齿方向的线性排列)、DS(重复单元5-8-5缺陷与石墨烯锯齿方向之间的倾斜角)和DZ(类锯齿状5-8-5缺陷)缺陷的杨氏模量比相同方向上的原始石墨烯的杨氏模量更大。杨氏模量最大增加了11.8%。此外,还提出了具有5-8-5缺陷的石墨烯的脆性开裂机制。本工作可为通过在石墨烯中制备缺陷来控制力学性能提供见解,并为具有缺陷的石墨烯在柔性电子学和纳米器件中的应用提供全面的认识。

https://cdn.ncbi.nlm.nih.gov/pmc/blobs/72f5/4598867/a1b929093933/srep14957-f1.jpg

文献AI研究员

20分钟写一篇综述,助力文献阅读效率提升50倍。

立即体验

用中文搜PubMed

大模型驱动的PubMed中文搜索引擎

马上搜索

文档翻译

学术文献翻译模型,支持多种主流文档格式。

立即体验