Suppr超能文献

活基质对林地草莓(野草莓,Fragaria vesca)的根系生长和匍匐茎方向有积极影响。

Live substrate positively affects root growth and stolon direction in the woodland strawberry, Fragaria vesca.

作者信息

Waters Erica M, Watson Maxine A

机构信息

Department of Biology, Indiana University, Bloomington, IN USA.

出版信息

Front Plant Sci. 2015 Sep 30;6:814. doi: 10.3389/fpls.2015.00814. eCollection 2015.

Abstract

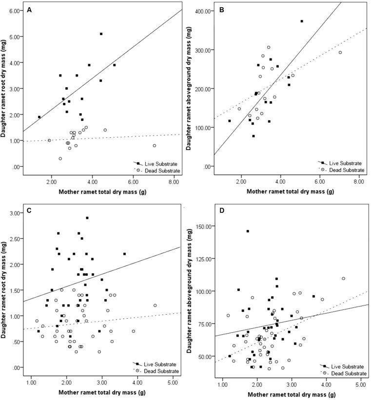
Studies of clonal plant foraging generally focus on growth responses to patch quality once rooted. Here we explore the possibility of true plant foraging; the ability to detect and respond to patch resource status prior to rooting. Two greenhouse experiments were conducted to investigate the morphological changes that occur when individual daughter ramets of Fragaria vesca (woodland strawberry) were exposed to air above live (non-sterilized) or dead (sterilized) substrates. Contact between daughter ramets and substrate was prohibited. Daughter ramet root biomass was significantly larger over live versus dead substrate. Root:shoot ratio also increased over live substrate, a morphological response we interpret as indicative of active nutrient foraging. Daughter ramet root biomass was positively correlated with mother ramet size over live but not dead substrate. Given the choice between a live versus a dead substrate, primary stolons extended preferentially toward live substrates. We conclude that exposure to live substrate drives positive nutrient foraging responses in F. vesca. We propose that volatiles emitted from the substrates might be effecting the morphological changes that occur during true nutrient foraging.

摘要

克隆植物觅食的研究通常关注植物扎根后对斑块质量的生长反应。在此,我们探讨真正的植物觅食的可能性,即在扎根之前检测并响应斑块资源状况的能力。我们进行了两项温室实验,以研究当森林草莓(Fragaria vesca)的单个子株暴露于活的(未灭菌的)或死的(已灭菌的)基质上方的空气中时所发生的形态变化。子株与基质之间禁止接触。与死基质相比,活基质上子株的根生物量显著更大。活基质上根与地上部分的比率也有所增加,我们将这种形态反应解释为积极养分觅食的指标。在活基质而非死基质上,子株的根生物量与母株大小呈正相关。在活基质和死基质之间进行选择时,初生匍匐茎优先向活基质延伸。我们得出结论,暴露于活基质会促使森林草莓产生积极的养分觅食反应。我们提出,基质释放的挥发物可能影响真正的养分觅食过程中发生的形态变化。

https://cdn.ncbi.nlm.nih.gov/pmc/blobs/4ded/4588215/a76036c67d6d/fpls-06-00814-g001.jpg

文献AI研究员

20分钟写一篇综述,助力文献阅读效率提升50倍。

立即体验

用中文搜PubMed

大模型驱动的PubMed中文搜索引擎

马上搜索

文档翻译

学术文献翻译模型,支持多种主流文档格式。

立即体验