Suppr超能文献

一种海洋硅藻模型对快速pH变化的生理响应:沿海水体酸化的特殊影响

Physiological Responses of a Model Marine Diatom to Fast pH Changes: Special Implications of Coastal Water Acidification.

作者信息

Wu Yaping, Beardall John, Gao Kunshan

机构信息

State Key Laboratory of Marine Environmental Science, Xiamen University, Xiamen, China.

School of Biological Sciences, Monash University, Clayton, Victoria, 3800, Australia.

出版信息

PLoS One. 2015 Oct 23;10(10):e0141163. doi: 10.1371/journal.pone.0141163. eCollection 2015.

Abstract

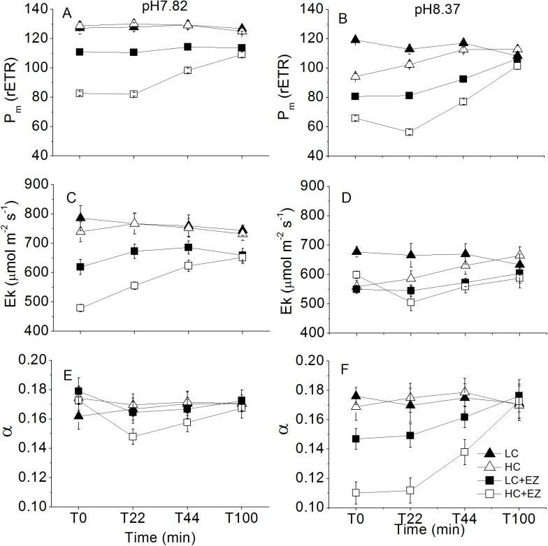
Diatoms and other phytoplankton in coastal waters experience rapid pH changes in milieu due to high biological activities and/or upwelled CO2-rich waters. While CO2 concentrating mechanisms (CCMs) are employed by all diatoms tested to counter low CO2 availability in seawater, little is known how this mechanism responds to fast pH changes. In the present study, the model diatom Thalassiosira pseudonana was acclimated for 20 generations to low pH (7.81) at an elevated CO2 of 1000 μatm (HC) or to high pH (8.18) at ambient CO2 levels of 390 μatm (LC), then its physiological characteristics were investigated as cells were shifted from HC to LC or vice versa. The maximal electron transport rate (ETRmax) in the HC-acclimated cells was immediately reduced by decreased CO2 availability, showing much lower values compared to that of the LC-acclimated cells. However, the cells showed a high capacity to regain their photochemical performance regardless of the growth CO2 levels, with their ETRmax values recovering to initial levels in about 100 min. This result indicates that this diatom might modulate its CCMs quickly to maintain a steady state supply of CO2, which is required for sustaining photosynthesis. In addition, active uptake of CO2 could play a fundamental role during the induction of CCMs under CO2 limitation, since the cells maintained high ETR even when both intracellular and periplasmic carbonic anhydrases were inhibited. It is concluded that efficient regulation of the CCM is one of the key strategies for diatoms to survive in fast changing pH environment, e.g. for the tested species, which is a dominant species in coastal waters where highly fluctuating pH is observed.

摘要

由于高生物活性和/或富含二氧化碳的上升流海水,沿海水域中的硅藻和其他浮游植物在其生存环境中经历着快速的pH值变化。虽然所有测试过的硅藻都采用二氧化碳浓缩机制(CCMs)来应对海水中低二氧化碳可用性的问题,但对于该机制如何响应快速的pH值变化却知之甚少。在本研究中,将模式硅藻假微型海链藻在1000 μatm的升高二氧化碳浓度(HC)下适应低pH(7.81)20代,或在390 μatm的环境二氧化碳水平(LC)下适应高pH(8.18)20代,然后在细胞从HC转移到LC或反之亦然时研究其生理特性。HC适应细胞中的最大电子传递速率(ETRmax)因二氧化碳可用性降低而立即降低,与LC适应细胞相比,其值要低得多。然而,无论生长时的二氧化碳水平如何,这些细胞都表现出很高的恢复其光化学性能的能力,其ETRmax值在约100分钟内恢复到初始水平。这一结果表明,这种硅藻可能会迅速调节其CCMs以维持光合作用所需的二氧化碳稳态供应。此外,在二氧化碳限制下CCMs的诱导过程中,二氧化碳的主动摄取可能起着基本作用,因为即使细胞内和周质碳酸酐酶都受到抑制,细胞仍能保持较高的ETR。得出的结论是,CCM的有效调节是硅藻在快速变化的pH环境中生存的关键策略之一,例如对于所测试的物种而言,它是在观察到pH值高度波动的沿海水域中的优势物种。

https://cdn.ncbi.nlm.nih.gov/pmc/blobs/b317/4619668/2c9e83eeb09e/pone.0141163.g001.jpg

文献AI研究员

20分钟写一篇综述,助力文献阅读效率提升50倍。

立即体验

用中文搜PubMed

大模型驱动的PubMed中文搜索引擎

马上搜索

文档翻译

学术文献翻译模型,支持多种主流文档格式。

立即体验