Cai Zheng, Lei Xiaolu, Lin Zhufen, Zhao Jie, Wu Feizhen, Yang Zhaoxiang, Pu Junxue, Liu Zhongqiu
School of Pharmaceutical Sciences, Southern Medical University, Guangzhou 510515, China.
Institute of Pharmaceutical Research, Kunming Pharmaceutical Co., Kunming 650100, China.
Acta Pharm Sin B. 2014 Feb;4(1):86-93. doi: 10.1016/j.apsb.2013.12.012. Epub 2014 Jan 24.
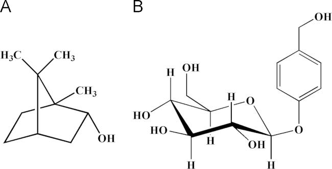
Borneol is a traditional Chinese medicine that can promote drug absorption from the gastrointestinal tract and distribution to the brain. However, stomach irritation may occur when high doses of borneol are used. In the present work, gastrodin, the main bioactive ingredient of the traditional Chinese drug "Tianma" (Rhizoma Gastrodiae) was used as a model drug to explore reasonable application of borneol. Sustained-release solid dispersions (SRSDs) for co-loading gastrodin and borneol were prepared using ethylcellulose as a sustained release matrix and hydroxy-propyl methylcellulose as a retarder. The dispersion state of drug within the SRSDs was analyzed by using scanning electron microscopy, differential scanning calorimetry, and powder X-ray diffractometry. The results indicated that both gastrodin and borneol were molecularly dispersed in an amorphous form. Assay of in vitro drug release demonstrated that the dissolution profiles of gastrodin and borneol from the SRSDs both fitted the Higuchi model. Subsequently, gastric mucosa irritation and the brain targeting of the SRSDs were evaluated. Compared with the free mixture of gastrodin and borneol, brain targeting of SRSDs was slightly weaker (brain targeting index: 1.83 vs. 2.09), but stomach irritation obviously reduced. Sustained-release technology can be used to reduce stomach irritation caused by borneol while preserving sufficient transport capacity for oral brain-targeting drug delivery.
冰片是一种能促进药物从胃肠道吸收并分布至脑内的传统中药。然而,高剂量使用冰片时可能会引起胃部刺激。在本研究中,以传统中药“天麻”(天麻根茎)的主要生物活性成分天麻素作为模型药物,探索冰片的合理应用。以乙基纤维素作为缓释骨架材料、羟丙基甲基纤维素作为阻滞剂,制备了共载天麻素和冰片的缓释固体分散体。采用扫描电子显微镜、差示扫描量热法和粉末X射线衍射法分析了药物在缓释固体分散体中的分散状态。结果表明,天麻素和冰片均以分子形式无定形分散。体外药物释放测定表明,天麻素和冰片从缓释固体分散体中的溶出曲线均符合Higuchi模型。随后,评估了缓释固体分散体的胃黏膜刺激性和脑靶向性。与天麻素和冰片的游离混合物相比,缓释固体分散体的脑靶向性稍弱(脑靶向指数:1.83对2.09),但胃部刺激明显减轻。缓释技术可用于减轻冰片引起的胃部刺激,同时保留足够的口服脑靶向给药转运能力。