Suppr超能文献

1992年至2012年间英国儿童进入家庭外照料机构的首次情况变化。

Changes in first entry to out-of-home care from 1992 to 2012 among children in England.

作者信息

Mc Grath-Lone Louise, Dearden Lorraine, Nasim Bilal, Harron Katie, Gilbert Ruth

机构信息

Administrative Data Research Centre for England, University College London, London, UK; UCL Institute of Child Health, University College London, London, UK.

Administrative Data Research Centre for England, University College London, London, UK; Institute of Education, University College London, London, UK.

出版信息

Child Abuse Negl. 2016 Jan;51:163-71. doi: 10.1016/j.chiabu.2015.10.020. Epub 2015 Nov 14.

Abstract

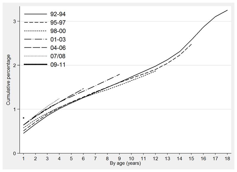
Placement in out-of-home care (OHC) indicates serious childhood adversity and is associated with multiple adverse outcomes. Each year 0.5% of children in England live in OHC but evidence is lacking on the cumulative proportion who enter during childhood and how this varies over time. We measured the proportion of children born between 1992 and 2011 who entered OHC, including variation in rates of entry over time, and explored the determinants of these changes using decomposition methods. We also described changes in placement type, duration and stability. By age 18, 3.3% of children born 1992-94 entered OHC. This proportion varied by ethnicity (1.6% of White vs. 4.5% of Black children born 2001-03 entered OHC by age 9, 95% CI [1.5-1.7] and [4.4-4.6], p<0.001) and increased over time (0.8% of children born 2009-11 entered OHC by age 1 vs. 0.5% born 1992-94, 95% CI [0.7-0.9] and [0.4-0.6], p<0.001). This overall increase was driven primarily by the increased rate of entry among White children and not by concurrent changes in the population's ethnic composition. The proportion of children entering OHC in England is increasing and characteristics of the care they receive are changing with earlier intervention and longer, more stable placements. Further research is required to understand the reasons for these changes in practice and whether they are cost-effective, sustainable, and improve outcomes for children and society.

摘要

进入家庭外照料(OHC)表明儿童时期遭遇了严重逆境,且与多种不良后果相关。在英格兰,每年有0.5%的儿童生活在家庭外照料机构中,但对于童年期间进入该机构的儿童累计比例以及这一比例随时间如何变化,目前仍缺乏相关证据。我们测量了1992年至2011年出生的儿童进入家庭外照料机构的比例,包括随时间变化的进入率差异,并使用分解方法探讨了这些变化的决定因素。我们还描述了安置类型、持续时间和稳定性的变化。到18岁时,1992 - 1994年出生的儿童中有3.3%进入了家庭外照料机构。这一比例因种族而异(2001 - 2003年出生的白人儿童中,9岁时进入家庭外照料机构的比例为1.6%,黑人儿童为4.5%,95%置信区间为[1.5 - 1.7]和[4.4 - 4.6],p<0.001),且随时间增加(2009 - 2011年出生的儿童中,1岁时进入家庭外照料机构的比例为0.8%,而1992 - 1994年出生的儿童为0.5%,95%置信区间为[0.7 - 0.9]和[0.4 - 0.6],p<0.001)。总体增长主要是由白人儿童进入率上升推动的,而非人口种族构成的同时变化。在英格兰,进入家庭外照料机构的儿童比例正在增加,他们所接受照料的特征也在发生变化,干预更早,安置时间更长、更稳定。需要进一步研究以了解这些实践变化的原因,以及它们是否具有成本效益、可持续性,是否能改善儿童和社会的结局。

https://cdn.ncbi.nlm.nih.gov/pmc/blobs/eb67/6205623/44fb952ad697/emss-80111-f001.jpg

文献AI研究员

20分钟写一篇综述,助力文献阅读效率提升50倍。

立即体验

用中文搜PubMed

大模型驱动的PubMed中文搜索引擎

马上搜索

文档翻译

学术文献翻译模型,支持多种主流文档格式。

立即体验