Suppr超能文献

预测生育控制对数量过多的有蹄类动物的影响:首都地区的白尾鹿

Forecasting the Effects of Fertility Control on Overabundant Ungulates: White-Tailed Deer in the National Capital Region.

作者信息

Raiho Ann M, Hooten Mevin B, Bates Scott, Hobbs N Thompson

机构信息

Natural Resource Ecology Laboratory, Department of Ecosystem Science and Sustainability, and Graduate Degree Program in Ecology, Colorado State University, Fort Collins, CO, 80523, United States of America.

U.S. Geological Survey, Colorado Cooperative Fish and Wildlife Research Unit; Department of Fish, Wildlife, and Conservation Biology and Department of Statistics, Colorado State University, Fort Collins, CO 80523, United States of America.

出版信息

PLoS One. 2015 Dec 9;10(12):e0143122. doi: 10.1371/journal.pone.0143122. eCollection 2015.

Abstract

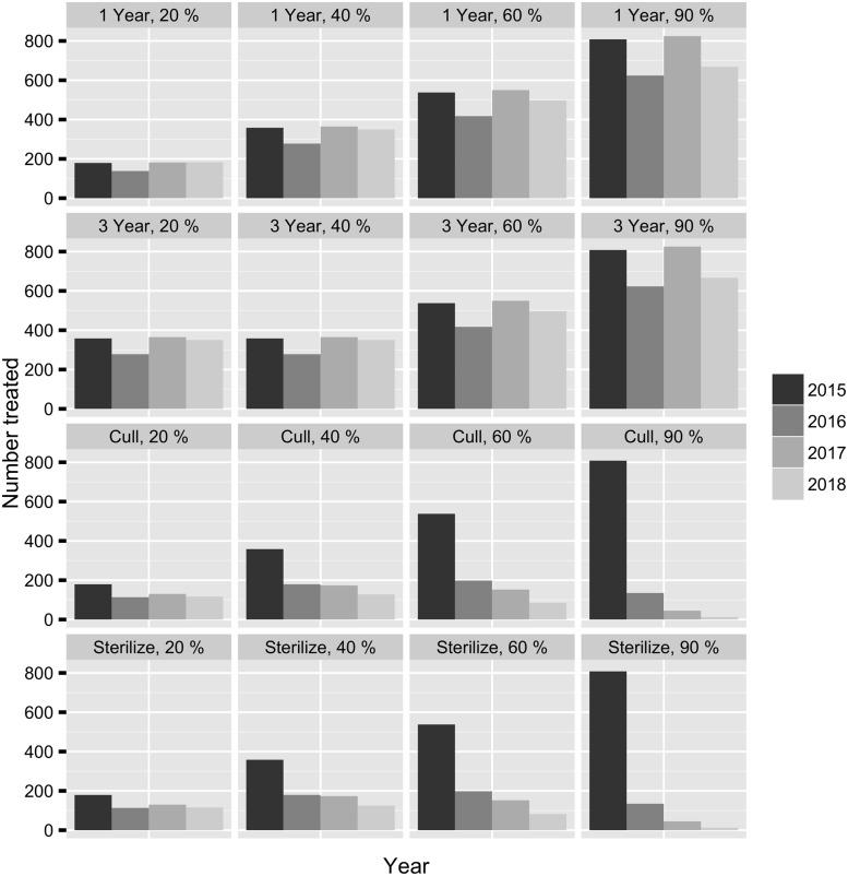
Overabundant populations of ungulates have caused environmental degradation and loss of biological diversity in ecosystems throughout the world. Culling or regulated harvest is often used to control overabundant species. These methods are difficult to implement in national parks, other types of conservation reserves, or in residential areas where public hunting may be forbidden by policy. As a result, fertility control has been recommended as a non-lethal alternative for regulating ungulate populations. We evaluate this alternative using white-tailed deer in national parks in the vicinity of Washington, D.C., USA as a model system. Managers seek to reduce densities of white-tailed deer from the current average (50 deer per km2) to decrease harm to native plant communities caused by deer. We present a Bayesian hierarchical model using 13 years of population estimates from 8 national parks in the National Capital Region Network. We offer a novel way to evaluate management actions relative to goals using short term forecasts. Our approach confirms past analyses that fertility control is incapable of rapidly reducing deer abundance. Fertility control can be combined with culling to maintain a population below carrying capacity with a high probability of success. This gives managers confronted with problematic overabundance a framework for implementing management actions with a realistic assessment of uncertainty.

摘要

有蹄类动物数量过多已导致全球生态系统的环境退化和生物多样性丧失。捕杀或有节制的捕猎常被用于控制数量过多的物种。在国家公园、其他类型的保护区或政策可能禁止公众狩猎的居民区,这些方法很难实施。因此,生育控制被推荐为调节有蹄类动物数量的一种非致命替代方法。我们以美国华盛顿特区附近国家公园的白尾鹿为模型系统来评估这种替代方法。管理者试图将白尾鹿的密度从当前平均水平(每平方公里50只鹿)降低,以减少鹿对本地植物群落造成的损害。我们使用来自国家首都地区网络8个国家公园的13年种群估计数据,提出了一个贝叶斯层次模型。我们提供了一种利用短期预测来评估相对于目标的管理行动的新方法。我们的方法证实了过去的分析结果,即生育控制无法迅速降低鹿的数量。生育控制可以与捕杀相结合,以大概率成功地将种群数量维持在承载能力以下。这为面临棘手的数量过多问题的管理者提供了一个框架,以便在对不确定性进行现实评估的情况下实施管理行动。

https://cdn.ncbi.nlm.nih.gov/pmc/blobs/58db/4674220/6f5acd2f8020/pone.0143122.g001.jpg

文献AI研究员

20分钟写一篇综述,助力文献阅读效率提升50倍。

立即体验

用中文搜PubMed

大模型驱动的PubMed中文搜索引擎

马上搜索

文档翻译

学术文献翻译模型,支持多种主流文档格式。

立即体验