Suppr超能文献

铁氰化钾(III)催化的羟基芪二聚化反应:茚芪二聚体的仿生合成

Potassium Hexacyanoferrate (III)-Catalyzed Dimerization of Hydroxystilbene: Biomimetic Synthesis of Indane Stilbene Dimers.

作者信息

Xie Jing-Shan, Wen Jin, Wang Xian-Fen, Zhang Jian-Qiao, Zhang Ji-Fa, Kang Yu-Long, Hui You-Wei, Zheng Wen-Sheng, Yao Chun-Suo

机构信息

State Key Laboratory of Bioactive Substance and Function of Natural Medicines, Institute of Materia Medica, Chinese Academy of Medical Sciences & Peking Union Medical College, Beijing 100050, China.

School of Chemical Engineering, Northwest University, Xi'an 710069, China.

出版信息

Molecules. 2015 Dec 18;20(12):22662-73. doi: 10.3390/molecules201219872.

Abstract

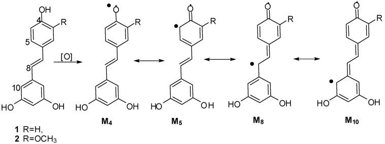
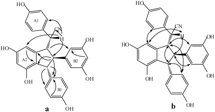
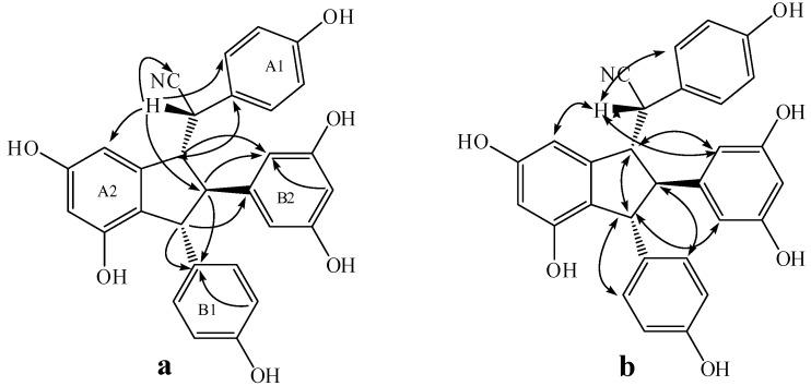
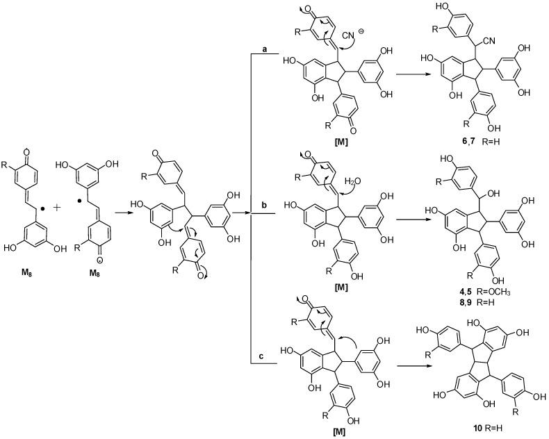
Using potassium hexacyanoferrate (III)-sodium acetate as oxidant, the oxidative coupling reaction of isorhapontigenin and resveratrol in aqueous acetone resulted in the isolation of three new indane dimers 4, 6, and 7, together with six known stilbene dimers. Indane dimer 5 was obtained for the first time by direct transformation from isorhapontigenin. The structures and relative configurations of the dimers were elucidated using spectral analysis, and their possible formation mechanisms were discussed. The results indicate that this reaction could be used as a convenient method for the semi-synthesis of indane dimers because of the mild conditions and simple reaction products.

摘要

以铁氰化钾(III)-醋酸钠为氧化剂,异丹叶大黄素与白藜芦醇在丙酮水溶液中发生氧化偶联反应,分离得到3个新的茚满二聚体4、6和7,以及6个已知的二苯乙烯二聚体。茚满二聚体5首次通过异丹叶大黄素的直接转化得到。利用光谱分析阐明了二聚体的结构和相对构型,并讨论了它们可能的形成机制。结果表明,该反应条件温和、反应产物简单,可作为茚满二聚体半合成的简便方法。

https://cdn.ncbi.nlm.nih.gov/pmc/blobs/34c0/6332065/e28f8f4ac5a5/molecules-20-19872-g001.jpg

文献AI研究员

20分钟写一篇综述,助力文献阅读效率提升50倍。

立即体验

用中文搜PubMed

大模型驱动的PubMed中文搜索引擎

马上搜索

文档翻译

学术文献翻译模型,支持多种主流文档格式。

立即体验