Papa Rosanna, Selan Laura, Parrilli Ermenegilda, Tilotta Marco, Sannino Filomena, Feller Georges, Tutino Maria L, Artini Marco
Department of Public Health and Infectious Diseases, Sapienza University Rome, Italy.
Department of Chemical Sciences, University of Naples Federico II Naples, Italy.
Front Microbiol. 2015 Dec 14;6:1333. doi: 10.3389/fmicb.2015.01333. eCollection 2015.
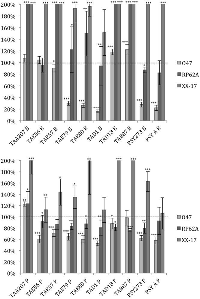
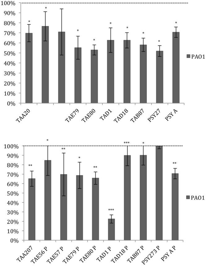
Microbial biofilms have great negative impacts on the world's economy and pose serious problems to industry, public health and medicine. The interest in the development of new approaches for the prevention and treatment of bacterial adhesion and biofilm formation has increased. Since, bacterial pathogens living in biofilm induce persistent chronic infections due to the resistance to antibiotics and host immune system. A viable approach should target adhesive properties without affecting bacterial vitality in order to avoid the appearance of resistant mutants. Many bacteria secrete anti-biofilm molecules that function in regulating biofilm architecture or mediating the release of cells from it during the dispersal stage of biofilm life cycle. Cold-adapted marine bacteria represent an untapped reservoir of biodiversity able to synthesize a broad range of bioactive compounds, including anti-biofilm molecules. The anti-biofilm activity of cell-free supernatants derived from sessile and planktonic cultures of cold-adapted bacteria belonging to Pseudoalteromonas, Psychrobacter, and Psychromonas species were tested against Staphylococcus aureus, Staphylococcus epidermidis, and Pseudomonas aeruginosa strains. Reported results demonstrate that we have selected supernatants, from cold-adapted marine bacteria, containing non-biocidal agents able to destabilize biofilm matrix of all tested pathogens without killing cells. A preliminary physico-chemical characterization of supernatants was also performed, and these analyses highlighted the presence of molecules of different nature that act by inhibiting biofilm formation. Some of them are also able to impair the initial attachment of the bacterial cells to the surface, thus likely containing molecules acting as anti-biofilm surfactant molecules. The described ability of cold-adapted bacteria to produce effective anti-biofilm molecules paves the way to further characterization of the most promising molecules and to test their use in combination with conventional antibiotics.
微生物生物膜对世界经济产生了巨大的负面影响,并给工业、公共卫生和医学带来了严重问题。人们对开发预防和治疗细菌黏附及生物膜形成新方法的兴趣与日俱增。因为,生活在生物膜中的细菌病原体由于对抗生素和宿主免疫系统具有抗性,会引发持续性慢性感染。一种可行的方法应该针对黏附特性,同时不影响细菌活力,以避免耐药突变体的出现。许多细菌会分泌抗生物膜分子,这些分子在生物膜生命周期的分散阶段发挥作用,调节生物膜结构或介导细胞从生物膜中释放。适应寒冷的海洋细菌是一个尚未开发的生物多样性宝库,能够合成多种生物活性化合物,包括抗生物膜分子。测试了来自假交替单胞菌属、嗜冷杆菌属和嗜冷单胞菌属适应寒冷细菌的固着和浮游培养物的无细胞上清液对金黄色葡萄球菌、表皮葡萄球菌和铜绿假单胞菌菌株的抗生物膜活性。报告结果表明,我们从适应寒冷的海洋细菌中筛选出了含有非杀生物剂的上清液,这些非杀生物剂能够破坏所有测试病原体的生物膜基质而不杀死细胞。还对上清液进行了初步的物理化学表征,这些分析突出了不同性质分子的存在,它们通过抑制生物膜形成发挥作用。其中一些分子还能够削弱细菌细胞与表面的初始附着,因此可能含有作为抗生物膜表面活性剂分子的物质。适应寒冷的细菌产生有效抗生物膜分子的上述能力为进一步表征最有前景的分子以及测试它们与传统抗生素联合使用铺平了道路。