Jones Jennifer E, Diemer Vincent, Adam Catherine, Raftery James, Ruscoe Rebecca E, Sengel Jason T, Wallace Mark I, Bader Antoine, Cockroft Scott L, Clayden Jonathan, Webb Simon J
School of Chemistry, University of Manchester , Oxford Road, Manchester M13 9PL, United Kingdom.
Manchester Institute of Biotechnology, University of Manchester , 131 Princess St, Manchester M1 7DN, United Kingdom.
J Am Chem Soc. 2016 Jan 20;138(2):688-95. doi: 10.1021/jacs.5b12057. Epub 2016 Jan 8.
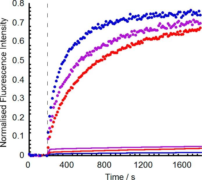
The synthetic biology toolbox lacks extendable and conformationally controllable yet easy-to-synthesize building blocks that are long enough to span membranes. To meet this need, an iterative synthesis of α-aminoisobutyric acid (Aib) oligomers was used to create a library of homologous rigid-rod 310-helical foldamers, which have incrementally increasing lengths and functionalizable N- and C-termini. This library was used to probe the inter-relationship of foldamer length, self-association strength, and ionophoric ability, which is poorly understood. Although foldamer self-association in nonpolar chloroform increased with length, with a ∼ 14-fold increase in dimerization constant from Aib6 to Aib11, ionophoric activity in bilayers showed a stronger length dependence, with the observed rate constant for Aib11 ∼ 70-fold greater than that of Aib6. The strongest ionophoric activity was observed for foldamers with >10 Aib residues, which have end-to-end distances greater than the hydrophobic width of the bilayers used (∼ 2.8 nm); X-ray crystallography showed that Aib11 is 2.93 nm long. These studies suggest that being long enough to span the membrane is more important for good ionophoric activity than strong self-association in the bilayer. Planar bilayer conductance measurements showed that Aib11 and Aib13, but not Aib7, could form pores. This pore-forming behavior is strong evidence that Aibm (m ≥ 10) building blocks can span bilayers.
合成生物学工具箱缺乏可扩展、构象可控且易于合成的、长度足以跨越膜的构建模块。为满足这一需求,采用迭代合成α-氨基异丁酸(Aib)寡聚物的方法创建了一个同源刚性棒状310-螺旋折叠体文库,这些折叠体的长度逐渐增加,且N端和C端具有可功能化修饰。该文库用于探究折叠体长度、自缔合强度和离子载体能力之间的相互关系,而目前对这些关系的了解还很少。尽管在非极性氯仿中折叠体的自缔合随长度增加,从Aib6到Aib11二聚化常数增加了约14倍,但在双层膜中的离子载体活性表现出更强的长度依赖性,Aib11的观测速率常数比Aib6大70倍左右。对于具有超过10个Aib残基的折叠体,观察到最强的离子载体活性,这些折叠体的端到端距离大于所用双层膜的疏水宽度(约2.8 nm);X射线晶体学表明Aib11的长度为2.93 nm。这些研究表明,对于良好的离子载体活性而言,长度足以跨越膜比在双层膜中强烈的自缔合更为重要。平面双层膜电导测量表明,Aib11和Aib13可以形成孔,而Aib7则不能。这种成孔行为有力地证明了Aibm(m≥10)构建模块可以跨越双层膜。