Suppr超能文献

基于简单模型与基于表现的跌倒预测模型的比较:来自美国国家健康与老龄化趋势研究的数据。

Comparison of simple vs. performance-based fall prediction models: data from the National Health and Aging Trends Study.

作者信息

Gadkaree Shekhar K, Sun Daniel Q, Huang Jin, Varadhan Ravi, Agrawal Yuri

机构信息

Department of Otolaryngology - Head & Neck Surgery Johns Hopkins University School of Medicine Baltimore, MD.

The Center on Aging and Health, Johns Hopkins University School of Medicine, Baltimore, MD.

出版信息

Gerontol Geriatr Med. 2015 Jan-Dec;1. doi: 10.1177/2333721415584850. Epub 2015 May 11.

Abstract

OBJECTIVE

To compare the predictive ability of standard falls prediction models based on physical performance assessments with more parsimonious prediction models based on self-reported data.

DESIGN

We developed a series of fall prediction models progressing in complexity and compared area under the receiver operating characteristic curve (AUC) across models.

SETTING

National Health and Aging Trends Study (NHATS), which surveyed a nationally-representative sample of Medicare enrollees (age ≥65) at baseline (Round 1: 2011-12) and one-year follow-up (Round 2: 2012-3).

PARTICIPANTS

6056 community-dwelling individuals who participated in Rounds 1 and 2 of NHATS.

MEASUREMENTS

Primary outcomes were one-year incidence of "" and "". Prediction models were compared and validated in development and validation sets, respectively.

RESULTS

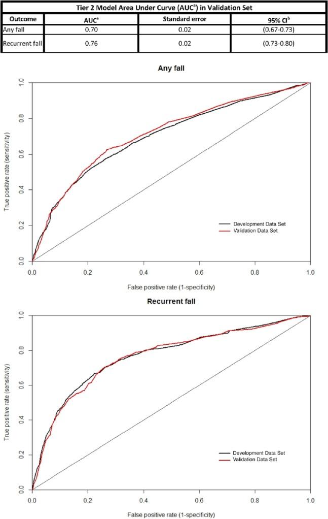
A prediction model that included demographic information, self-reported problems with balance and coordination, and previous fall history was the most parsimonious model that optimized AUC for both (AUC=0.69, 95% CI 0.67-0.71) and (AUC=0.77, 95% CI 0.74-0.79) in the development set. Physical performance testing provided marginal additional predictive value.

CONCLUSION

A simple clinical prediction model that does not include physical performance testing could facilitate routine, widespread falls risk screening in the ambulatory care setting.

摘要

目的

比较基于身体性能评估的标准跌倒预测模型与基于自我报告数据的更简约预测模型的预测能力。

设计

我们开发了一系列复杂度递增的跌倒预测模型,并比较了各模型的受试者工作特征曲线下面积(AUC)。

设置

国家健康与老龄化趋势研究(NHATS),该研究在基线(第1轮:2011 - 2012年)和一年随访(第2轮:2012 - 2013年)时对全国代表性的医疗保险参保者样本(年龄≥65岁)进行了调查。

参与者

6056名参与NHATS第1轮和第2轮的社区居住个体。

测量

主要结局是“”和“”的一年发病率。预测模型分别在开发集和验证集中进行比较和验证。

结果

在开发集中,一个包含人口统计学信息、自我报告的平衡和协调问题以及既往跌倒史的预测模型是在优化“”(AUC = 0.69,95%CI 0.67 - 0.71)和“”(AUC = 0.77,95%CI 0.74 - 0.79)的AUC方面最简约的模型。身体性能测试提供的额外预测价值有限。

结论

一个不包括身体性能测试的简单临床预测模型有助于在门诊护理环境中进行常规、广泛的跌倒风险筛查。

https://cdn.ncbi.nlm.nih.gov/pmc/blobs/450d/5119905/dbfde2084d77/10.1177_2333721415584850-fig1.jpg

文献AI研究员

20分钟写一篇综述,助力文献阅读效率提升50倍。

立即体验

用中文搜PubMed

大模型驱动的PubMed中文搜索引擎

马上搜索

文档翻译

学术文献翻译模型,支持多种主流文档格式。

立即体验