Suppr超能文献

干细胞标志物CD133的预后意义由启动子甲基化而非免疫组化表达决定,在恶性胶质瘤中。

Prognostic significance of stem cell marker CD133 determined by promoter methylation but not by immunohistochemical expression in malignant gliomas.

作者信息

Wu Xing, Wu Fenlang, Xu Dongwen, Zhang Tao

机构信息

Department of Neurosurgery, Huashan Hospital, Fudan University, Shanghai, China.

Department of Neurosurgery, Yangjiang Hospital, Guangdong Medical College, Guangzhou, China.

出版信息

J Neurooncol. 2016 Apr;127(2):221-32. doi: 10.1007/s11060-015-2039-z. Epub 2016 Jan 12.

Abstract

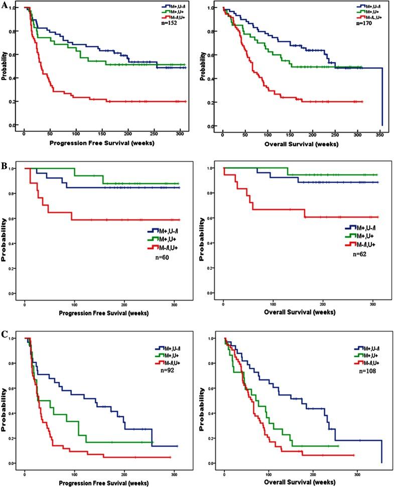
CD133 has played a pivotal role in the identification and isolation of brain tumor stem cells. The correlation between CD133 expression in tumor tissues with patients survival is still controversial. CD133 expression is determinated by methylation status of the promoter region 1-3. Aberrant methylation of CD133 was observed in glioblastoma. To date, a direct link between CD133 methylation and patient outcome has not been established.To address this question, we studied CD133 expression and promoter methylation in a series of 170 gliomas of various grade and histology, and investigated the correlation of CD133 expression and promoter methylation with patient outcome.We detected five CD133 promoter methylation patterns in 170 glioma samples: methylation only (M+, U-), unmethylation only (M-, U+), both methylation and unmethylation equally (M+, U+), high methylation and low unmethylation (M+, Ul), and low methylation and high unmethylation (Ml, U+). By multivariate survival analysis, we found CD133 promoter methylation status was significant (P < 0.01) prognostic factors for adverse progression-free survival and overall survival independent of tumor grade, extent of resection, or patient age. CD133 immunostaining showed considerable variability among tumors. While, there was lack of correlation between CD133 protein expression and patient's survival. Furthermore, no correlation between CD133 protein expression and CD133 promoter methylation status was observed (Kw = -0.165).CD133 promoter methylation status in glioma is closely correlated with patient survival, which suggest CD133 promoter methylaiton pattern is a promising tool for diagnostic purposes.

摘要

CD133在脑肿瘤干细胞的识别和分离中发挥了关键作用。肿瘤组织中CD133表达与患者生存率之间的相关性仍存在争议。CD133的表达由启动子区域1 - 3的甲基化状态决定。在胶质母细胞瘤中观察到CD133的异常甲基化。迄今为止,CD133甲基化与患者预后之间的直接联系尚未确立。为了解决这个问题,我们研究了170例不同分级和组织学类型的胶质瘤中CD133的表达及启动子甲基化情况,并探讨了CD133表达和启动子甲基化与患者预后的相关性。我们在170例胶质瘤样本中检测到五种CD133启动子甲基化模式:仅甲基化(M +,U -)、仅未甲基化(M -,U +)、甲基化和未甲基化程度相同(M +,U +)、高甲基化和低未甲基化(M +,Ul)以及低甲基化和高未甲基化(Ml,U +)。通过多因素生存分析,我们发现CD133启动子甲基化状态是无进展生存期和总生存期不良的显著(P < 0.01)预后因素,独立于肿瘤分级、切除范围或患者年龄。CD133免疫染色显示肿瘤之间存在相当大的变异性。然而,CD133蛋白表达与患者生存率之间缺乏相关性。此外,未观察到CD133蛋白表达与CD133启动子甲基化状态之间的相关性(Kw = -0.165)。胶质瘤中CD133启动子甲基化状态与患者生存率密切相关,这表明CD133启动子甲基化模式是一种有前景的诊断工具。

https://cdn.ncbi.nlm.nih.gov/pmc/blobs/464b/4781890/7c27792b3f68/11060_2015_2039_Fig1_HTML.jpg

文献AI研究员

20分钟写一篇综述,助力文献阅读效率提升50倍。

立即体验

用中文搜PubMed

大模型驱动的PubMed中文搜索引擎

马上搜索

文档翻译

学术文献翻译模型,支持多种主流文档格式。

立即体验