Suppr超能文献

日粮中不同水平精饲料对韩国本土黑山羊肉理化特性的影响。

Effects of Different Levels of Concentrate in the Diet on Physicochemical Traits of Korean Native Black Goat Meats.

作者信息

Kim Sang Woo, Park Seong Bok, Kim Myeong Jik, Kim Dong Hun, Yim Dong-Gyun

机构信息

Animal Genetic Resources Station, National Institute of Animal Science, RDA, Namwon 590-830, Korea.

Department of Health Administration and Food Hygiene, Jinju Health College, Jinju 660-757, Korea.

出版信息

Korean J Food Sci Anim Resour. 2014;34(4):457-63. doi: 10.5851/kosfa.2014.34.4.457. Epub 2014 Aug 31.

Abstract

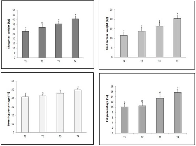
The effects of feeding of diets based on roughage supplemented with concentrate on the carcass and meat quality attributes of Korean black goats were investigated. The 40 male goats at 5 mon age were divided into four treatment groups; T1 (1.5%), T2 (2.0%), T3 (2.5%) and T4 (ad libitum) feeding of concentrate with ad libitum rice straw. Forty bucks at the end of the feeding were fasted for 12 h before slaughter and were then slaughtered. For carcass measurement, cold buck carcasses were examined after 24 h of chilling at 5℃. The carcasses were chilled in refrigerator at 2±2℃ for 24 h, then the longissimus dorsi muscle was removed from the carcasses. The samples were separately vacuum packaged, frozen and stored at -20℃ for up to 1 mon, prior to physicochemical evaluations. Carcass yields were greatly affected by rate of concentrate feeding. T4 showed the heaviest live and carcass weights and the highest dressing and fat percentages (p<0.05). The moisture contents were lower in T4 compared with other treatments, while the crude protein and fat contents were higher (p<0.05). monounsaturated fatty acid in T4 was significantly higher than others, which showed the highest percentages of oleic acid (C18:1). For the sensory test, T4 was tenderer and produced better flavor scores than others. Increasing the level of concentrate in the diet resulted in an improvement in growth performance, and carcass and physicochemical characteristics of goat meats.

摘要

研究了以粗饲料为主并添加精饲料的日粮对韩国黑山羊胴体和肉质特性的影响。将40只5月龄的雄性山羊分为四个处理组;T1(1.5%)、T2(2.0%)、T3(2.5%)和T4(自由采食)精饲料并自由采食稻草。饲养结束时的40只公羊在屠宰前禁食12小时,然后进行屠宰。对于胴体测量,在5℃冷藏24小时后检查冷鲜公羊胴体。将胴体在2±2℃的冰箱中冷藏24小时,然后从胴体上取下背最长肌。在进行理化评估之前,将样品分别真空包装、冷冻并在-20℃下储存长达1个月。精饲料饲喂比例对胴体产量有很大影响。T4组的活重和胴体重最重,屠宰率和脂肪百分比最高(p<0.05)。与其他处理组相比,T4组的水分含量较低,而粗蛋白和脂肪含量较高(p<0.05)。T4组的单不饱和脂肪酸显著高于其他组,其中油酸(C18:1)的百分比最高。在感官测试中,T4组的肉质更嫩,风味评分也优于其他组。日粮中精饲料水平的提高导致山羊生长性能、胴体和理化特性得到改善。

https://cdn.ncbi.nlm.nih.gov/pmc/blobs/0dd6/4662149/d06305f87e89/kosfa-34-457-f001.jpg

文献AI研究员

20分钟写一篇综述,助力文献阅读效率提升50倍。

立即体验

用中文搜PubMed

大模型驱动的PubMed中文搜索引擎

马上搜索

文档翻译

学术文献翻译模型,支持多种主流文档格式。

立即体验