• 文献检索
  • 文档翻译
  • 深度研究
  • 学术资讯
  • Suppr Zotero 插件Zotero 插件
  • 邀请有礼
  • 套餐&价格
  • 历史记录
应用&插件
Suppr Zotero 插件Zotero 插件浏览器插件Mac 客户端Windows 客户端微信小程序
定价
高级版会员购买积分包购买API积分包
服务
文献检索文档翻译深度研究API 文档MCP 服务
关于我们
关于 Suppr公司介绍联系我们用户协议隐私条款
关注我们

Suppr 超能文献

核心技术专利:CN118964589B侵权必究
粤ICP备2023148730 号-1Suppr @ 2026

文献检索

告别复杂PubMed语法,用中文像聊天一样搜索,搜遍4000万医学文献。AI智能推荐,让科研检索更轻松。

立即免费搜索

文件翻译

保留排版,准确专业,支持PDF/Word/PPT等文件格式,支持 12+语言互译。

免费翻译文档

深度研究

AI帮你快速写综述,25分钟生成高质量综述,智能提取关键信息,辅助科研写作。

立即免费体验

与使用美国超声心动图学会指南的超声心动图相比,冠状动脉计算机断层扫描血管造影术对腔室尺寸和功能的评估。

Chamber dimensions and functional assessment with coronary computed tomographic angiography as compared to echocardiography using American Society of Echocardiography guidelines.

作者信息

Rose Michael, Rubal Bernard, Hulten Edward, Slim Jennifer N, Steel Kevin, Furgerson James L, Villines Todd C, Slim Ahmad M

机构信息

Cardiology Service MCHE-MDC, San Antonio Military Medical Center, Brooke Army Medical Center, San Antonio, TX, USA.

Cardiology Service, Walter Reed National Military Medical Center, Bethesda, MD, USA.

出版信息

SAGE Open Med. 2014 Feb 14;2:2050312114522789. doi: 10.1177/2050312114522789. eCollection 2014.

DOI:10.1177/2050312114522789
PMID:26770706
原文链接:https://pmc.ncbi.nlm.nih.gov/articles/PMC4607219/
Abstract

BACKGROUND

The correlation between normal cardiac chamber linear dimensions measured during retrospective coronary computed tomographic angiography as compared to transthoracic echocardiography using the American Society of Echocardiography guidelines is not well established.

METHODS

We performed a review from January 2005 to July 2011 to identify subjects with retrospective electrocardiogram-gated coronary computed tomographic angiography scans for chest pain and transthoracic echocardiography with normal cardiac structures performed within 90 days. Dimensions were manually calculated in both imaging modalities in accordance with the American Society of Echocardiography published guidelines. Left ventricular ejection fraction was calculated on echocardiography manually using the Simpson's formula and by coronary computed tomographic angiography using the end-systolic and end-diastolic volumes.

RESULTS

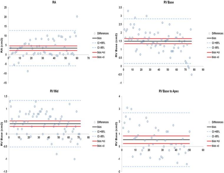
We reviewed 532 studies, rejected 412 and had 120 cases for review with a median time between studies of 7 days (interquartile range (IQR25,75) = 0-22 days) with no correlation between the measurements made by coronary computed tomographic angiography and transthoracic echocardiography using Bland-Altman analysis. We generated coronary computed tomographic angiography cardiac dimension reference ranges for both genders for our population.

CONCLUSION

Our findings represent a step towards generating cardiac chamber dimensions' reference ranges for coronary computed tomographic angiography as compared to transthoracic echocardiography in patients with normal cardiac morphology and function using the American Society of Echocardiography guideline measurements that are commonly used by cardiologists.

摘要

背景

与经胸超声心动图相比,在回顾性冠状动脉计算机断层血管造影期间测量的正常心腔线性尺寸之间的相关性,使用美国超声心动图学会指南尚未明确确立。

方法

我们对2005年1月至2011年7月期间进行回顾性心电图门控冠状动脉计算机断层血管造影扫描以评估胸痛的受试者以及在90天内进行心脏结构正常的经胸超声心动图检查的受试者进行了回顾。在两种成像模式中均根据美国超声心动图学会发布的指南手动计算尺寸。在超声心动图上使用辛普森公式手动计算左心室射血分数,并通过冠状动脉计算机断层血管造影使用收缩末期和舒张末期容积计算。

结果

我们回顾了532项研究,排除了412项,有120例进行回顾,研究之间的中位时间为7天(四分位间距(IQR25,75)= 0 - 22天),使用布兰德-奥特曼分析,冠状动脉计算机断层血管造影和经胸超声心动图测量之间无相关性。我们为我们的人群生成了两性的冠状动脉计算机断层血管造影心脏尺寸参考范围。

结论

我们的研究结果朝着为心脏形态和功能正常的患者生成冠状动脉计算机断层血管造影与经胸超声心动图相比的心腔尺寸参考范围迈出了一步,该参考范围使用了心脏病专家常用的美国超声心动图学会指南测量方法。

https://cdn.ncbi.nlm.nih.gov/pmc/blobs/b090/4607219/d5d78e49713f/10.1177_2050312114522789-fig6.jpg
https://cdn.ncbi.nlm.nih.gov/pmc/blobs/b090/4607219/894565f0b27d/10.1177_2050312114522789-fig1.jpg
https://cdn.ncbi.nlm.nih.gov/pmc/blobs/b090/4607219/70e5e61d5ad3/10.1177_2050312114522789-fig2.jpg
https://cdn.ncbi.nlm.nih.gov/pmc/blobs/b090/4607219/bacfef445c79/10.1177_2050312114522789-fig3.jpg
https://cdn.ncbi.nlm.nih.gov/pmc/blobs/b090/4607219/41c5cd3dde77/10.1177_2050312114522789-fig4.jpg
https://cdn.ncbi.nlm.nih.gov/pmc/blobs/b090/4607219/6c4d3f51d150/10.1177_2050312114522789-fig5.jpg
https://cdn.ncbi.nlm.nih.gov/pmc/blobs/b090/4607219/d5d78e49713f/10.1177_2050312114522789-fig6.jpg
https://cdn.ncbi.nlm.nih.gov/pmc/blobs/b090/4607219/894565f0b27d/10.1177_2050312114522789-fig1.jpg
https://cdn.ncbi.nlm.nih.gov/pmc/blobs/b090/4607219/70e5e61d5ad3/10.1177_2050312114522789-fig2.jpg
https://cdn.ncbi.nlm.nih.gov/pmc/blobs/b090/4607219/bacfef445c79/10.1177_2050312114522789-fig3.jpg
https://cdn.ncbi.nlm.nih.gov/pmc/blobs/b090/4607219/41c5cd3dde77/10.1177_2050312114522789-fig4.jpg
https://cdn.ncbi.nlm.nih.gov/pmc/blobs/b090/4607219/6c4d3f51d150/10.1177_2050312114522789-fig5.jpg
https://cdn.ncbi.nlm.nih.gov/pmc/blobs/b090/4607219/d5d78e49713f/10.1177_2050312114522789-fig6.jpg

相似文献

1
Chamber dimensions and functional assessment with coronary computed tomographic angiography as compared to echocardiography using American Society of Echocardiography guidelines.与使用美国超声心动图学会指南的超声心动图相比,冠状动脉计算机断层扫描血管造影术对腔室尺寸和功能的评估。
SAGE Open Med. 2014 Feb 14;2:2050312114522789. doi: 10.1177/2050312114522789. eCollection 2014.
2
Value and limitations of transesophageal echocardiography in determination of left ventricular volumes and ejection fraction.经食管超声心动图在测定左心室容积和射血分数中的价值与局限性。
J Am Coll Cardiol. 1992 May;19(6):1213-22. doi: 10.1016/0735-1097(92)90327-j.
3
Assessment of left ventricular function: comparison of cardiac multidetector-row computed tomography with two-dimension standard echocardiography for assessment of left ventricular function.左心室功能评估:心脏多排螺旋计算机断层扫描与二维标准超声心动图在评估左心室功能方面的比较。
Int J Cardiovasc Imaging. 2008 Mar;24(3):317-25. doi: 10.1007/s10554-007-9252-6. Epub 2007 Aug 16.
4
Relationship of gated SPECT ventricular function parameters to angiographic measurements.门控单光子发射计算机断层扫描心室功能参数与血管造影测量值的关系。
J Nucl Cardiol. 1998 May-Jun;5(3):295-303. doi: 10.1016/s1071-3581(98)90131-3.
5
European Association of Cardiovascular Imaging/Cardiovascular Imaging Department of the Brazilian Society of Cardiology recommendations for the use of cardiac imaging to assess and follow patients after heart transplantation.欧洲心血管影像协会/巴西心脏病学会心血管影像学部关于心脏移植后评估和随访患者使用心脏影像的建议。
Eur Heart J Cardiovasc Imaging. 2015 Sep;16(9):919-48. doi: 10.1093/ehjci/jev139. Epub 2015 Jul 2.
6
Real-time, volumetric echocardiography: usefulness of volumetric scanning for the assessment of cardiac volume and function.实时容积超声心动图:容积扫描在评估心脏容积和功能方面的实用性。
J Cardiol. 2001;37 Suppl 1:93-101.
7
Intraoperative three-dimensional versus two-dimensional echocardiography for left ventricular assessment.术中三维与二维超声心动图评估左心室。
Anesth Analg. 2014 Apr;118(4):711-20. doi: 10.1213/ANE.0000000000000093.
8
Echocardiographic validation of gated SPECT ventricular function measurements.门控单光子发射计算机断层扫描心室功能测量的超声心动图验证
J Nucl Med. 2000 Aug;41(8):1308-14.
9
Left atrial volume: comparison of 2D and 3D transthoracic echocardiography with ECG-gated CT angiography.左心房容积:二维和三维经胸超声心动图与心电图门控 CT 血管造影的比较。
Acad Radiol. 2012 Jan;19(1):62-8. doi: 10.1016/j.acra.2011.08.017. Epub 2011 Nov 3.
10
Comparison of cardiac measurements by multi-detector computed tomography angiography and transthoracic echocardiography in English bulldogs.多排螺旋计算机断层扫描血管造影术与经胸超声心动图在英国斗牛犬心脏测量中的比较
J Vet Cardiol. 2017 Dec;19(6):480-491. doi: 10.1016/j.jvc.2017.10.003. Epub 2017 Nov 23.

引用本文的文献

1
Left atrial volume by cardiac CTA prior to catheter ablation: comparison to echocardiography and association with recurrent atrial fibrillation.心脏 CT 血管造影术在导管消融术前的左心房容积:与超声心动图的比较及与复发性心房颤动的相关性。
BMC Res Notes. 2023 Apr 7;16(1):47. doi: 10.1186/s13104-023-06313-2.
2
Accuracy of Non-Electrocardiographically Gated Thoracic CT Angiography for Right Atrial and Right Ventricular Enlargement.非心电图门控胸部CT血管造影对右心房和右心室扩大的诊断准确性
Radiol Cardiothorac Imaging. 2019 Oct 31;1(4):e190008. doi: 10.1148/ryct.2019190008. eCollection 2019 Oct.
3
Preoperative assessment of mitral valve abnormalities in left atrial myxoma patients using cardiac CT.

本文引用的文献

1
Sex-specific normalized reference values of heart and great vessel dimensions in cardiac CT angiography.心脏 CT 血管造影中心脏和大血管尺寸的性别特异性归一化参考值。
AJR Am J Roentgenol. 2011 Apr;196(4):788-94. doi: 10.2214/AJR.10.4990.
2
Guidelines for the echocardiographic assessment of the right heart in adults: a report from the American Society of Echocardiography endorsed by the European Association of Echocardiography, a registered branch of the European Society of Cardiology, and the Canadian Society of Echocardiography.成人右心超声心动图评估指南:美国超声心动图学会报告,得到欧洲心脏病学会注册分支欧洲超声心动图协会以及加拿大超声心动图学会认可。
J Am Soc Echocardiogr. 2010 Jul;23(7):685-713; quiz 786-8. doi: 10.1016/j.echo.2010.05.010.
3
使用心脏CT对左心房黏液瘤患者二尖瓣异常进行术前评估。
Oncotarget. 2017 Mar 11;8(34):57583-57593. doi: 10.18632/oncotarget.16139. eCollection 2017 Aug 22.
Cardiac chamber volumes, function, and mass as determined by 64-multidetector row computed tomography: mean values among healthy adults free of hypertension and obesity.64排多层螺旋计算机断层扫描测定的心脏腔室容积、功能及质量:无高血压和肥胖的健康成年人的平均值
JACC Cardiovasc Imaging. 2008 Nov;1(6):782-6. doi: 10.1016/j.jcmg.2008.04.015.
4
Feasibility of automatic assessment of four-chamber cardiac function with MDCT: Initial clinical application and validation.多层 CT 自动评估四腔心心脏功能的可行性:初步临床应用及验证。
Eur J Radiol. 2010 Apr;74(1):175-81. doi: 10.1016/j.ejrad.2009.01.035. Epub 2009 Mar 3.
5
Use of multidetector computed tomography for evaluation of global and regional left ventricular function.使用多排螺旋计算机断层扫描评估左心室整体和局部功能。
J Cardiovasc Comput Tomogr. 2009 Jan-Feb;3(1 Suppl):S23-34. doi: 10.1016/j.jcct.2008.10.016. Epub 2008 Nov 27.
6
[Cardiac imaging: specific clinical role of newly developed non invasive techniques. Part 1: Morphological evaluation].[心脏成像:新开发的非侵入性技术的特定临床作用。第1部分:形态学评估]
Rev Med Suisse. 2008 May 28;4(159):1304-6, 1308-10.
7
Cardiac CT and CT coronary angiography: technology and application.心脏CT与CT冠状动脉造影:技术与应用
Heart. 2008 Jun;94(6):781-92. doi: 10.1136/hrt.2007.116392.
8
Priceless clinical pearls in the performance of cardiac CT.心脏CT检查中的宝贵临床要点。
Rev Cardiovasc Med. 2008;9 Suppl 1:S3-13.
9
What is the role of computed tomographic coronary angiography in diabetic patients?计算机断层扫描冠状动脉造影在糖尿病患者中的作用是什么?
Diabetes Metab. 2008 Feb;34(1):26-32. doi: 10.1016/j.diabet.2007.08.005. Epub 2008 Jan 14.
10
[Dual-source CT coronary angiography].[双源CT冠状动脉造影术]
Rev Med Univ Navarra. 2007 Jul-Sep;51(3):4-8.