Suppr超能文献

Can IRT Solve the Missing Data Problem in Test Equating?

作者信息

Bolsinova Maria, Maris Gunter

机构信息

Department of Methodology and Statistics, Utrecht UniversityUtrecht, Netherlands; Psychometric Research Center, Dutch National Institute for Educational Measurement (Cito)Arnhem, Netherlands.

Psychometric Research Center, Dutch National Institute for Educational Measurement (Cito)Arnhem, Netherlands; Department of Psychology, University of AmsterdamAmsterdam, Netherlands.

出版信息

Front Psychol. 2016 Jan 5;6:1956. doi: 10.3389/fpsyg.2015.01956. eCollection 2015.

Abstract

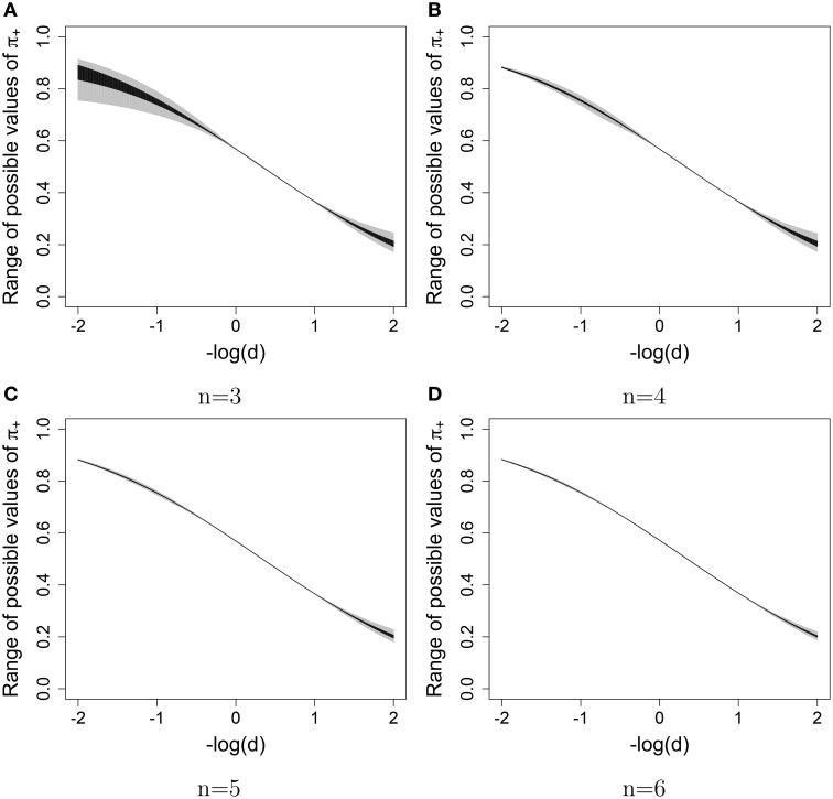
In this paper test equating is considered as a missing data problem. The unobserved responses of the reference population to the new test must be imputed to specify a new cutscore. The proportion of students from the reference population that would have failed the new exam and those having failed the reference exam are made approximately the same. We investigate whether item response theory (IRT) makes it possible to identify the distribution of these missing responses and the distribution of test scores from the observed data without parametric assumptions for the ability distribution. We show that while the score distribution is not fully identifiable, the uncertainty about the score distribution on the new test due to non-identifiability is very small. Moreover, ignoring the non-identifiability issue and assuming a normal distribution for ability may lead to bias in test equating, which we illustrate in simulated and empirical data examples.

摘要
https://cdn.ncbi.nlm.nih.gov/pmc/blobs/01a9/4700285/027ab0636724/fpsyg-06-01956-g0001.jpg

文献AI研究员

20分钟写一篇综述,助力文献阅读效率提升50倍。

立即体验

用中文搜PubMed

大模型驱动的PubMed中文搜索引擎

马上搜索

文档翻译

学术文献翻译模型,支持多种主流文档格式。

立即体验