Suppr超能文献

利用叶绿素荧光成像技术检测气候变化下白羊草幼苗的光合性能

Detection of Photosynthetic Performance of Stipa bungeana Seedlings under Climatic Change using Chlorophyll Fluorescence Imaging.

作者信息

Song Xiliang, Zhou Guangsheng, Xu Zhenzhu, Lv Xiaomin, Wang Yuhui

机构信息

State Key Laboratory of Vegetation and Environmental Change, Institute of Botany, Chinese Academy of ScienceBeijing, China; University of Chinese Academy of SciencesBeijing, China.

State Key Laboratory of Vegetation and Environmental Change, Institute of Botany, Chinese Academy of ScienceBeijing, China; Chinese Academy of Meteorological Sciences, China Meteorological AdministrationBeijing, China.

出版信息

Front Plant Sci. 2016 Jan 12;6:1254. doi: 10.3389/fpls.2015.01254. eCollection 2015.

Abstract

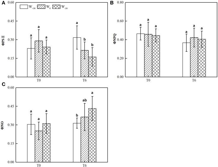
In this study, the impact of future climate change on photosynthetic efficiency as well as energy partitioning in the Stipa bungeana was investigated by using chlorophyll fluorescence imaging (CFI) technique. Two thermal regimes (room temperature, T0: 23.0/17.0°C; High temperature, T6: 29.0/23.0°C) and three water conditions (Control, W0; Water deficit, W-30; excess precipitation, W+30) were set up in artificial control chambers. The results showed that excess precipitation had no significant effect on chlorophyll fluorescence parameters, while water deficit decreased the maximal quantum yield of photosystem II (PSII) photochemistry for the dark-adapted state (F v/F m) by 16.7%, with no large change in maximal quantum yield of PSII photochemistry for the light-adapted state (F V'/F M') and coefficient of the photochemical quenching (q P ) at T0 condition. Under T6 condition, high temperature offset the negative effect of water deficit on F v/F m and enhanced the positive effect of excess precipitation on F v/F m, F v'/F m', and q P , the values of which all increased. This indicates that the temperature higher by 6°C will be beneficial to the photosynthetic performance of S. bungeana. Spatial changes of photosynthetic performance were monitored in three areas of interest (AOIs) located on the bottom, middle and upper position of leaf. Chlorophyll fluorescence images (F v/F m, actual quantum yield of PSII photochemistry for the light-adapted state (ΦPSII), quantum yield of non-regulated energy dissipation for the light-adapted state (ΦNO) at T0 condition, and ΦPSII at T6 condition) showed a large spatial variation, with greater value of ΦNO and lower values of F v/F m and ΦPSII in the upper position of leaves. Moreover, there was a closer relationship between ΦPSII and ΦNO, suggesting that the energy dissipation by non-regulated quenching mechanisms played a dominant role in the yield of PSII photochemistry. It was also found that, among all measured fluorescence parameters, the F v/F m ratio was most sensitive to precipitation change at T0, while ΦPSII was the most sensitive indicator at T6.

摘要

在本研究中,利用叶绿素荧光成像(CFI)技术,研究了未来气候变化对白羊草光合效率以及能量分配的影响。在人工控制气候箱中设置了两种温度 regime(室温,T0:23.0/17.0°C;高温,T6:29.0/23.0°C)和三种水分条件(对照,W0;水分亏缺,W - 30;降水过多,W + 30)。结果表明,降水过多对叶绿素荧光参数无显著影响,而水分亏缺使暗适应状态下光系统II(PSII)光化学的最大量子产率(F v/F m)降低了16.7%,在T0条件下,光适应状态下PSII光化学的最大量子产率(F V'/F M')和光化学猝灭系数(q P)变化不大。在T6条件下,高温抵消了水分亏缺对F v/F m的负面影响,并增强了降水过多对F v/F m、F v'/F m'和q P的积极影响,这些值均有所增加。这表明温度升高6°C将有利于白羊草的光合性能。在位于叶片底部、中部和上部位置的三个感兴趣区域(AOIs)监测了光合性能的空间变化。叶绿素荧光图像(F v/F m、光适应状态下PSII光化学的实际量子产率(ΦPSII)、光适应状态下非调节性能量耗散的量子产率(ΦNO)在T0条件下,以及T6条件下的ΦPSII)显示出较大的空间变化,叶片上部位置的ΦNO值较大,F v/F m和ΦPSII值较低。此外,ΦPSII和ΦNO之间存在更密切的关系,表明非调节性猝灭机制的能量耗散在PSII光化学产率中起主导作用。还发现,在所有测量的荧光参数中,F v/F m比值在T0时对降水变化最敏感,而ΦPSII在T6时是最敏感的指标。

https://cdn.ncbi.nlm.nih.gov/pmc/blobs/2451/4709831/63e23fe93635/fpls-06-01254-g0001.jpg

文献AI研究员

20分钟写一篇综述,助力文献阅读效率提升50倍。

立即体验

用中文搜PubMed

大模型驱动的PubMed中文搜索引擎

马上搜索

文档翻译

学术文献翻译模型,支持多种主流文档格式。

立即体验