• 文献检索
  • 文档翻译
  • 深度研究
  • 学术资讯
  • Suppr Zotero 插件Zotero 插件
  • 邀请有礼
  • 套餐&价格
  • 历史记录
应用&插件
Suppr Zotero 插件Zotero 插件浏览器插件Mac 客户端Windows 客户端微信小程序
定价
高级版会员购买积分包购买API积分包
服务
文献检索文档翻译深度研究API 文档MCP 服务
关于我们
关于 Suppr公司介绍联系我们用户协议隐私条款
关注我们

Suppr 超能文献

核心技术专利:CN118964589B侵权必究
粤ICP备2023148730 号-1Suppr @ 2026

文献检索

告别复杂PubMed语法,用中文像聊天一样搜索,搜遍4000万医学文献。AI智能推荐,让科研检索更轻松。

立即免费搜索

文件翻译

保留排版,准确专业,支持PDF/Word/PPT等文件格式,支持 12+语言互译。

免费翻译文档

深度研究

AI帮你快速写综述,25分钟生成高质量综述,智能提取关键信息,辅助科研写作。

立即免费体验

有机物质和温度对蓝贻贝(Mytilus edulis)掩埋耐受性的影响:海洋集料疏浚管理的考量

The Influence of Organic Material and Temperature on the Burial Tolerance of the Blue Mussel, Mytilus edulis: Considerations for the Management of Marine Aggregate Dredging.

作者信息

Cottrell Richard S, Black Kenny D, Hutchison Zoë L, Last Kim S

机构信息

Scottish Association for Marine Science, Oban, Argyll, Scotland, PA37 1QA.

School of Biology, University of St Andrews, St Andrews, Fife, KY16 9ST, Scotland.

出版信息

PLoS One. 2016 Jan 25;11(1):e0147534. doi: 10.1371/journal.pone.0147534. eCollection 2016.

DOI:10.1371/journal.pone.0147534
PMID:26809153
原文链接:https://pmc.ncbi.nlm.nih.gov/articles/PMC4726446/
Abstract

RATIONALE AND EXPERIMENTAL APPROACH

Aggregate dredging is a growing source of anthropogenic disturbance in coastal UK waters and has the potential to impact marine systems through the smothering of benthic fauna with organically loaded screening discards. This study investigates the tolerance of the blue mussel, Mytilus edulis to such episodic smothering events using a multi-factorial design, including organic matter concentration, temperature, sediment fraction size and duration of burial as important predictor variables.

RESULTS AND DISCUSSION

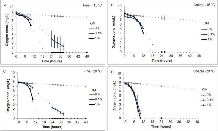
Mussel mortality was significantly higher in organically loaded burials when compared to control sediments after just 2 days. Particularly, M. edulis specimens under burial in fine sediment with high (1%) concentrations of organic matter experienced a significantly higher mortality rate (p<0.01) than those under coarse control aggregates. Additionally, mussels exposed to the summer maximum temperature treatment (20°C) exhibited significantly increased mortality (p<0.01) compared to those in the ambient treatment group (15°C). Total Oxygen Uptake rates of experimental aggregates were greatest (112.7 mmol m-2 day-1) with 1% organic loadings in coarse sediment at 20°C. Elevated oxygen flux rates in porous coarse sediments are likely to be a function of increased vertical migration of anaerobically liberated sulphides to the sediment-water interface. However, survival of M. edulis under bacterial mats of Beggiatoa spp. indicates the species' resilience to sulphides and so we propose that the presence of reactive organic matter within the burial medium may facilitate bacterial growth and increase mortality through pathogenic infection. This may be exacerbated under the stable interstitial conditions in fine sediment and increased bacterial metabolism under high temperatures. Furthermore, increased temperature may impose metabolic demands upon the mussel that cannot be met during burial-induced anaerobiosis.

SUMMARY

Lack of consideration for the role of organic matter and temperature during sedimentation events may lead to an overestimation of the tolerance of benthic species to smothering from dredged material.

摘要

原理与实验方法

在英国沿海水域,集料疏浚是人为干扰不断增加的一个来源,有可能通过用有机负荷较高的筛选弃料覆盖底栖动物,对海洋系统产生影响。本研究采用多因素设计,以有机物浓度、温度、沉积物颗粒大小和掩埋持续时间作为重要预测变量,研究紫贻贝对这类偶发性掩埋事件的耐受性。

结果与讨论

仅2天后,与对照沉积物相比,在有机负荷较高的掩埋环境中,贻贝死亡率显著更高。特别是,被掩埋在含有高浓度(1%)有机物的细颗粒沉积物中的紫贻贝标本,其死亡率显著高于被掩埋在粗颗粒对照集料中的标本(p<0.01)。此外,与环境处理组(15°C)相比,暴露于夏季最高温度处理(20°C)的贻贝死亡率显著增加(p<0.01)。在20°C下,粗颗粒沉积物中有机负荷为1%时,实验集料的总摄氧率最高(112.7 mmol m-2 天-1)。多孔粗颗粒沉积物中较高的氧通量率可能是厌氧释放的硫化物垂直迁移至沉积物 - 水界面增加的结果。然而,在贝氏硫菌的细菌垫下紫贻贝的存活情况表明该物种对硫化物具有恢复力,因此我们认为掩埋介质中活性有机物的存在可能促进细菌生长,并通过致病性感染增加死亡率。在细颗粒沉积物稳定的间隙条件下以及高温下细菌代谢增加的情况下,这种情况可能会加剧。此外,温度升高可能会给贻贝带来代谢需求,而在掩埋导致的厌氧状态下这些需求无法得到满足。

总结

在沉积事件中未考虑有机物和温度的作用,可能会导致高估底栖物种对疏浚物料掩埋的耐受性。

https://cdn.ncbi.nlm.nih.gov/pmc/blobs/3547/4726446/c5d0cc817199/pone.0147534.g005.jpg
https://cdn.ncbi.nlm.nih.gov/pmc/blobs/3547/4726446/a32c38f49fc8/pone.0147534.g001.jpg
https://cdn.ncbi.nlm.nih.gov/pmc/blobs/3547/4726446/a416b824d348/pone.0147534.g002.jpg
https://cdn.ncbi.nlm.nih.gov/pmc/blobs/3547/4726446/6d1508786760/pone.0147534.g003.jpg
https://cdn.ncbi.nlm.nih.gov/pmc/blobs/3547/4726446/373840bd2e55/pone.0147534.g004.jpg
https://cdn.ncbi.nlm.nih.gov/pmc/blobs/3547/4726446/c5d0cc817199/pone.0147534.g005.jpg
https://cdn.ncbi.nlm.nih.gov/pmc/blobs/3547/4726446/a32c38f49fc8/pone.0147534.g001.jpg
https://cdn.ncbi.nlm.nih.gov/pmc/blobs/3547/4726446/a416b824d348/pone.0147534.g002.jpg
https://cdn.ncbi.nlm.nih.gov/pmc/blobs/3547/4726446/6d1508786760/pone.0147534.g003.jpg
https://cdn.ncbi.nlm.nih.gov/pmc/blobs/3547/4726446/373840bd2e55/pone.0147534.g004.jpg
https://cdn.ncbi.nlm.nih.gov/pmc/blobs/3547/4726446/c5d0cc817199/pone.0147534.g005.jpg

相似文献

1
The Influence of Organic Material and Temperature on the Burial Tolerance of the Blue Mussel, Mytilus edulis: Considerations for the Management of Marine Aggregate Dredging.有机物质和温度对蓝贻贝(Mytilus edulis)掩埋耐受性的影响:海洋集料疏浚管理的考量
PLoS One. 2016 Jan 25;11(1):e0147534. doi: 10.1371/journal.pone.0147534. eCollection 2016.
2
Buried Alive: The Behavioural Response of the Mussels, Modiolus modiolus and Mytilus edulis to Sudden Burial by Sediment.活埋:贻贝(偏顶蛤和紫贻贝)对沉积物突然掩埋的行为反应
PLoS One. 2016 Mar 16;11(3):e0151471. doi: 10.1371/journal.pone.0151471. eCollection 2016.
3
Decreased thermal tolerance under recurrent heat stress conditions explains summer mass mortality of the blue mussel Mytilus edulis.在反复热应激条件下,热耐受性降低解释了贻贝 Mytilus edulis 夏季大量死亡的原因。
Sci Rep. 2019 Nov 25;9(1):17498. doi: 10.1038/s41598-019-53580-w.
4
An integrated environmental approach to investigate biomarker fluctuations in the blue mussel Mytilus edulis L. in the Vilaine estuary, France.采用综合环境方法研究法国Vilaine 河口贻贝 Mytilus edulis L. 生物标志物的波动。
Environ Sci Pollut Res Int. 2013 Feb;20(2):630-50. doi: 10.1007/s11356-012-1316-z. Epub 2012 Dec 18.
5
Sediment Burial Intolerance of Marine Macroinvertebrates.海洋大型无脊椎动物对沉积物掩埋的耐受性
PLoS One. 2016 Feb 22;11(2):e0149114. doi: 10.1371/journal.pone.0149114. eCollection 2016.
6
Dose-dependent response of a benthic system to biodeposition from suspended blue mussel (Mytilus edulis) culture.悬浮贻贝(Mytilus edulis)养殖对底栖系统生物沉积的剂量依赖性响应。
Mar Pollut Bull. 2013 Jan 15;66(1-2):92-104. doi: 10.1016/j.marpolbul.2012.11.003. Epub 2012 Dec 6.
7
Immune responses to ZnO nanoparticles are modulated by season and environmental temperature in the blue mussels Mytilus edulis.在贻贝中,季节和环境温度会调节对 ZnO 纳米颗粒的免疫反应。
Sci Total Environ. 2021 Dec 20;801:149786. doi: 10.1016/j.scitotenv.2021.149786. Epub 2021 Aug 20.
8
Environmental impacts of dredging and other sediment disturbances on corals: a review.疏浚和其他泥沙干扰对珊瑚的环境影响:综述。
Mar Pollut Bull. 2012 Sep;64(9):1737-65. doi: 10.1016/j.marpolbul.2012.05.008. Epub 2012 Jun 7.
9
Gut Microbiomes of the Eastern Oyster () and the Blue Mussel (): Temporal Variation and the Influence of Marine Aggregate-Associated Microbial Communities.贻贝()和贻贝()的肠道微生物组:时间变化和海洋聚集物相关微生物群落的影响。
mSphere. 2019 Dec 11;4(6):e00730-19. doi: 10.1128/mSphere.00730-19.
10
Factors influencing the upper temperature tolerances of three mussel species in a brackish water canal: size, season and laboratory protocols.影响咸水运河中三种贻贝物种温度耐受上限的因素:大小、季节和实验室规程。
Biofouling. 2005;21(2):87-97. doi: 10.1080/08927010500133584.

引用本文的文献

1
Buried Alive: The Behavioural Response of the Mussels, Modiolus modiolus and Mytilus edulis to Sudden Burial by Sediment.活埋:贻贝(偏顶蛤和紫贻贝)对沉积物突然掩埋的行为反应
PLoS One. 2016 Mar 16;11(3):e0151471. doi: 10.1371/journal.pone.0151471. eCollection 2016.
2
Sediment Burial Intolerance of Marine Macroinvertebrates.海洋大型无脊椎动物对沉积物掩埋的耐受性
PLoS One. 2016 Feb 22;11(2):e0149114. doi: 10.1371/journal.pone.0149114. eCollection 2016.

本文引用的文献

1
Buried Alive: The Behavioural Response of the Mussels, Modiolus modiolus and Mytilus edulis to Sudden Burial by Sediment.活埋:贻贝(偏顶蛤和紫贻贝)对沉积物突然掩埋的行为反应
PLoS One. 2016 Mar 16;11(3):e0151471. doi: 10.1371/journal.pone.0151471. eCollection 2016.
2
Sediment Burial Intolerance of Marine Macroinvertebrates.海洋大型无脊椎动物对沉积物掩埋的耐受性
PLoS One. 2016 Feb 22;11(2):e0149114. doi: 10.1371/journal.pone.0149114. eCollection 2016.
3
Effects of temperature change on mussel, Mytilus.
Integr Zool. 2012 Sep;7(3):312-327. doi: 10.1111/j.1749-4877.2012.00310.x.
4
Distribution and functions of TonB-dependent transporters in marine bacteria and environments: implications for dissolved organic matter utilization.海洋细菌和环境中 TonB 依赖性转运蛋白的分布与功能:对溶解有机物利用的影响。
PLoS One. 2012;7(7):e41204. doi: 10.1371/journal.pone.0041204. Epub 2012 Jul 19.
5
Environmental impacts of dredging and other sediment disturbances on corals: a review.疏浚和其他泥沙干扰对珊瑚的环境影响:综述。
Mar Pollut Bull. 2012 Sep;64(9):1737-65. doi: 10.1016/j.marpolbul.2012.05.008. Epub 2012 Jun 7.
6
Corals shed bacteria as a potential mechanism of resilience to organic matter enrichment.珊瑚通过释放细菌作为对有机物富营养化的潜在恢复机制。
ISME J. 2012 Jun;6(6):1159-65. doi: 10.1038/ismej.2011.180. Epub 2011 Dec 22.
7
Management of the marine environment: integrating ecosystem services and societal benefits with the DPSIR framework in a systems approach.海洋环境管理:在系统方法中,将生态系统服务和社会效益与 DPSIR 框架相结合。
Mar Pollut Bull. 2011 Feb;62(2):215-26. doi: 10.1016/j.marpolbul.2010.12.012. Epub 2011 Jan 7.
8
Effects of temperature, nutrients, organic matter and coral mucus on the survival of the coral pathogen, Serratia marcescens PDL100.温度、营养物质、有机物和珊瑚黏液对珊瑚病原体粘质沙雷氏菌 PDL100 存活的影响。
Environ Microbiol. 2010 Sep;12(9):2479-85. doi: 10.1111/j.1462-2920.2010.02221.x. Epub 2010 Apr 19.
9
Effects of fish farming on the biological and geochemical properties of muddy and sandy sediments in the Mediterranean Sea.养殖渔业对地中海泥质和沙质沉积物的生物和地球化学性质的影响。
Mar Environ Res. 2010 Jun;69(5):326-36. doi: 10.1016/j.marenvres.2009.12.007. Epub 2009 Dec 28.
10
The respiratory capacity of marine mussels (Mytilus galloprovincialis) in relation to the high temperature threshold.海洋贻贝(地中海贻贝)的呼吸能力与高温阈值的关系。
Comp Biochem Physiol A Mol Integr Physiol. 2009 Aug;153(4):399-402. doi: 10.1016/j.cbpa.2009.03.013. Epub 2009 Mar 27.